相关习题
 0  81241  81249  81255  81259  81265  81267  81271  81277  81279  81285  81291  81295  81297  81301  81307  81309  81315  81319  81321  81325  81327  81331  81333  81335  81336  81337  81339  81340  81341  81343  81345  81349  81351  81355  81357  81361  81367  81369  81375  81379  81381  81385  81391  81397  81399  81405  81409  81411  81417  81421  81427  81435  211419 

科目: 来源:2013年江苏省南京市六合区中考化学一模试卷(解析版) 题型:填空题

现有六种物质:①熟石灰、②活性炭、③干冰、④钛合金、⑤聚乙烯、⑥硝酸钾.请选择相应物质的序号填空:
(1)可用于人工降雨的是   
(2)可作复合肥的是   
(3)可用于改良酸性土壤的是   
(4)可用于制食品包装袋的是   
(5)能吸附冰箱异味的是   
(6)可用来制造人造骨的是   

查看答案和解析>>

科目: 来源:2013年江苏省南京市六合区中考化学一模试卷(解析版) 题型:填空题

请用化学符号表示:
(1)2个氮原子    ;   
(2)2个镁离子   
(3)3个碳酸根离子    ;   
(4)硫酸锌中锌元素的化合价   

查看答案和解析>>

科目: 来源:2013年江苏省南京市六合区中考化学一模试卷(解析版) 题型:填空题

2013年3月22日是“世界水日”,今年的宣传主题是“水合作”.水与人类的生活和生产密切相关.请回答以下相关问题:
(1)水常用来配制各种溶液,下列物质溶于水后溶液温度明显降低的是   
A.氢氧化钠     B.氯化钠      C.硝酸铵      D.浓硫酸
(2)在农业生产上常用质量分数为16%的NaCl溶液来选种.
现要配制150kg这种溶液,需要NaCl    kg,水    kg.
(3)若想检验某天然水是硬水还是软水,采用的方法是加入    (填字母编号).
A.食盐水    B.肥皂水   C.石灰水     D.自来水
(4)天然水中含有许多杂质,现向水样中加入明矾搅拌溶解,静置一段时间后,进行过滤,过滤时需要用到的玻璃仪器有    (填序号).
①带铁圈的铁架台  ②酒精灯  ③漏斗  ④玻璃棒   ⑤量筒   ⑥烧杯  ⑦滤纸
(5)ClO2 是新一代饮用水的消毒剂,我国成功研制出制取ClO2的新方法,其反应的微观过程图如下:

(其中表示氯原子,表示钠原子,表示氧原子)
根据反应的微观过程图写出反应的化学方程式   

查看答案和解析>>

科目: 来源:2013年江苏省南京市六合区中考化学一模试卷(解析版) 题型:填空题

实验室有一瓶保管不当的试剂(如图),其残缺的标签中只剩下“Na”和“10%”字样.已知它是无色液体,是初中化学常用的试剂.小强和小华同学很感兴趣,决定对其成分进行探究:
【提出问题】这瓶试剂可能是什么溶液呢?
【交流讨论】根据受损标签的情况判断,这瓶试剂不可能是   
A.酸       B.碱     C.盐
【查阅资料】
Ⅰ.初中化学常见的含钠化合物有NaCl、NaOH、Na2CO3、NaHCO3
Ⅱ.Na2CO3和NaHCO3溶液都呈碱性.
Ⅲ.测定室温(20℃)时,四种物质的溶解度的数据如下:
物质NaClNaOHNa2CO3NaHCO3
溶解度/g361092159.6
【得出结论】小华根据试剂瓶标注的溶质质量分数10%和上表中的溶解度的数据判断,这瓶试剂不可能是   
【作出猜想】①可能是    溶液;②可能是Na2CO3溶液;③可能是NaCl.
【设计并实验】
(1)小强用洁净的玻璃棒蘸取该溶液滴在pH试纸上,测得pH>7,这瓶试剂不可能是   
(2)小强为了检验该溶液是NaOH溶液还是Na2CO3溶液,他又进行了如下实验:
操作步骤实验现象结论及化学方程式
取样于试管中,
滴加氢氧化钙溶液
    猜想②正确
相关的化学方程式   

查看答案和解析>>

科目: 来源:2013年江苏省南京市六合区中考化学一模试卷(解析版) 题型:解答题

创新利用CO2,倡导低碳生活,发展低碳经济已成为一种环保时尚.

(1)“低碳城市”的建设减少了二氧化碳气体的排放,能减缓______的程度.
(2)2014年青奥会即将在南京举行,为了控制汽车尾气给空气造成的污染,南京市在燃料的使用和管理等方面采取了一些有效措施.图1中公交车使用的燃料主要成分是天然气,其完全燃烧的化学方程式为______ CO2+2H2O

查看答案和解析>>

科目: 来源:2013年江苏省南京市六合区中考化学一模试卷(解析版) 题型:解答题

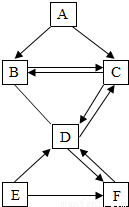
A、B、C、D、E、F六种物质均由非金属元素组成.C、E是单质,其余四种都是化合物;A、B组成元素相同,D、F组成元素也相同.常温下C、D、F都是气体;E为黑色固体.它们存在如图的转化关系,“→”表示可以向箭头所指方向一步转化,“-”表示两种物质间可以发生反应.(反应条件与其他物质均已略去) 
请回答下列问题:
(1)写出下列物质的化学式:E:______;D:______.
(2)写出实现下列转化的化学方程式.
①D→C:______催化剂C6H12O6+6O2

查看答案和解析>>

科目: 来源:2013年江苏省南京市六合区中考化学一模试卷(解析版) 题型:解答题

已知碳酸易分解,草酸与碳酸有相似的化学性质,在受热的条件下草酸也会分解,仅生成三种氧化物.我校研究性学习小组对此展开探究:
[提出问题]生成的三种氧化物是什么?
[查阅资料]无水硫酸铜是一种白色粉末物质,遇水变成淡蓝色硫酸铜晶体.化学方程式为:
CuSO4(白色粉末)+5H2O=CuSO4?5H2O(蓝色晶体)
[提出猜想]生成的氧化物中有H2O、CO2和CO.
[实验探究]张亮将生成的气体,依次通过如图所示装置,验证猜想.

(1)观察到A中______,证明生成物中有水.
(2)B中澄清石灰水变浑浊,证明______.
(3)D中红色粉末是______(填化学式),实验现象______.
[交流讨论]
陈军认为:张亮不需要E装置也能够推断出生成物中有一氧化碳.你是否支持陈军的观点:______(填“支持”或“不支持”),请说出你的理由:______.
陈军还认为:从环保的角度来看,此装置有一个缺陷,请你指出该缺陷:______,处理的方法是______.

查看答案和解析>>

科目: 来源:2013年北京市西城区、延庆县中考化学一模试卷(解析版) 题型:选择题

空气的成分中,体积分数约占 21%的是( )
A.氮气
B.氧气
C.二氧化碳
D.稀有气体

查看答案和解析>>

科目: 来源:2013年北京市西城区、延庆县中考化学一模试卷(解析版) 题型:选择题

地壳中含量最多的金属元素是( )
A.氧
B.硅
C.铝
D.铁

查看答案和解析>>

科目: 来源:2013年北京市西城区、延庆县中考化学一模试卷(解析版) 题型:选择题

下列变化中,属于化学变化的是( )
A.冰雪融化
B.钢铁生锈
C.干冰升华
D.矿石粉碎

查看答案和解析>>

同步练习册答案