相关习题
 0  81341  81349  81355  81359  81365  81367  81371  81377  81379  81385  81391  81395  81397  81401  81407  81409  81415  81419  81421  81425  81427  81431  81433  81435  81436  81437  81439  81440  81441  81443  81445  81449  81451  81455  81457  81461  81467  81469  81475  81479  81481  81485  81491  81497  81499  81505  81509  81511  81517  81521  81527  81535  211419 

科目: 来源:2013年广东省中考化学模拟试卷(三)(解析版) 题型:填空题

如图装置具有多种用途,请回答:
(1)当气体由a管进b管出时,可用于收集密度比空气    的气体;当气体由b管进a管出时,能收集的气体有    (填2种气体).
(2)若用其干燥酸性气体,应在瓶中装入的物质是    ;若用其测定气体体积时,可在瓶中充满水,并在b处添加   

查看答案和解析>>

科目: 来源:2013年广东省中考化学模拟试卷(三)(解析版) 题型:填空题

“波尔多液”能杀死葡萄、柑橘表皮的寄生虫,它是用CuSO4溶液与石灰水混合而成的,其化学方程式:    ;若喷洒“波尔多液”不久就采摘的柑橘、葡萄,表皮上常会残留一些水洗不掉的蓝色斑点,这些蓝色斑点属于    (填“酸”、“碱”、“盐”、或“氧化物”),这时可在厨房用品中选用    浸泡将其洗去,该反应的基本类型属于   

查看答案和解析>>

科目: 来源:2013年广东省中考化学模拟试卷(三)(解析版) 题型:填空题

随意丢弃废旧干电池会造成环境污染,而废旧干电池中的许多物质都是可以回收利用的.请根据右图回答下列问题:
(1)图示中属于非金属单质的是    ,属于氧化物的是    (写化学式).
(2)将锌皮洗净后可用于制取氢气,则锌与稀硫酸反应的化学方程式为   
(3)取干电池内的填充物溶于水,过滤,得到A的溶液和黑色不溶物,灼烧黑色不溶物得MnO2
①MnO2在实验室制取氧气中起的是    作用;
②将A的溶液分为两份,一份加入烧碱溶液,加热产生一种刺激性气味的气体,它能使湿润的红色石蕊试纸变蓝色,可知该气体的化学式为    ;另一份加入AgNO3溶液,产生白色沉淀,滴加稀HNO3沉淀不溶解,则可推知A物质的化学式为   

查看答案和解析>>

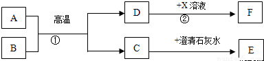
科目: 来源:2013年广东省中考化学模拟试卷(三)(解析版) 题型:填空题

如图所示(部分生成物已省略):A、C是无色气体,B、F是红色固体.

(1)写出反应①的化学方程式   
(2)写出反应②的化学方程式    ,反应类型是    反应
(3)含D的生活用品腐蚀的过程,实际上是D与空气中的    反应的过程.

查看答案和解析>>

科目: 来源:2013年广东省中考化学模拟试卷(三)(解析版) 题型:填空题

有两种岩石样品A和B.B是常用建筑材料,H是单质,图中部分产物已略:

(1)写出有关物质的化学式:A的主要成分    ,B的主要成分    ,X    ,Y   
(2)写出图中下列步骤的化学方程式:①       

查看答案和解析>>

科目: 来源:2013年广东省中考化学模拟试卷(三)(解析版) 题型:解答题

现有下列仪器:

(1)吸取和滴加少量液体时用______;洗涤试管应使用______(填仪器名称).
(2)加热前用试管夹夹持试管的具体操作是______.
(3)若利用上述仪器进行实验:溶解氯化钠时还需要添加的仪器是______;加热KMnO4制取O2,还需要的铁制仪器是:______.
(4)写出造成下列现象的原因:
①某同学在量筒中溶解固体烧碱,发现量筒炸裂:______;
②用高锰酸钾制取氧气并用排水法收集气体时,发现水槽中的水略带紫红色:______.

查看答案和解析>>

科目: 来源:2013年广东省中考化学模拟试卷(三)(解析版) 题型:填空题

一同学用某种粗盐进行提纯实验,步骤见下图.

请回答:
(1)步骤①和②的操作名称是   
(2)步骤③判断加入盐酸“适量”的方法是    ;步骤④加热蒸发时要用玻棒不断搅拌,这是为了防止    ,当蒸发皿中有较多量固体出现时,应    ,用余热使水分蒸干.
(3)猜想和验证:
猜    想验   证   的  方  法现   象结   论
猜想Ⅰ:固体A中含CaCO3、MgCO3取少量固体A于试管中,滴加稀盐酸,并用涂有澄清石灰水的小烧杯罩于试管口.    猜想Ⅰ成立
猜想Ⅱ:固体A中含BaCO3取少量固体A于试管中,先滴入    ,再滴入Na2SO4溶液有气泡放出,无白色沉淀   
猜想Ⅲ:最后制得的NaCl晶体中还含有Na2SO4取少量NaCl晶体溶于试管中的蒸馏水,
   
    猜想Ⅲ成立

查看答案和解析>>

科目: 来源:2013年广东省中考化学模拟试卷(三)(解析版) 题型:填空题

下图是两化肥标签的一部分,请回答

(1)从标签上看,两种化肥具有共同的物理性质之一是    ;碳酸氢铵不同于尿素的化学性质是   
(2)这种“尿素”和“碳酸氢铵”的含氮的质量比为   
(3)从含氮量角度,50kg这种碳酸氢铵相当于    kg(精确到0.1)这种尿素.

查看答案和解析>>

科目: 来源:2013年广东省中考化学模拟试卷(三)(解析版) 题型:解答题

将氯化钠和硫酸钠固体混合物共15g完全溶于水后,加入一定质量分数的氯化钡溶液208g,恰好完全反应,过滤、洗净、烘干得到23.3g沉淀.计算:
(1)所加氯化钡溶液的溶质质量分数;
(2)原固体混合物中氯化钠的质量.

查看答案和解析>>

科目: 来源:2013年江苏省南京市溧水县中考化学一模试卷(解析版) 题型:选择题

下列生活用品用金属材料制作而成的是( )
A.
陶瓷杯
B.
不锈钢碗
C.
塑料盆
D.
玻璃茶壶

查看答案和解析>>

同步练习册答案