相关习题
0 81369 81377 81383 81387 81393 81395 81399 81405 81407 81413 81419 81423 81425 81429 81435 81437 81443 81447 81449 81453 81455 81459 81461 81463 81464 81465 81467 81468 81469 81471 81473 81477 81479 81483 81485 81489 81495 81497 81503 81507 81509 81513 81519 81525 81527 81533 81537 81539 81545 81549 81555 81563 211419
科目:
来源:2013年广西北海市合浦县中考化学一模试卷(解析版)
题型:填空题

有三瓶失去标签的试剂,只知道它们分别是NaOH溶液,NaCl溶液,Na
2SO
4溶液,现有石蕊试液,酚酞试液,KNO
3溶液,BaCl
2溶液可供选用.要通过实验将它们区别开来,请将有关物质或实验现象填入下图所示的方框中,每个方框中只填写一种物质或实验现象
.
查看答案和解析>>
科目:
来源:2013年广西北海市合浦县中考化学一模试卷(解析版)
题型:填空题
请根据下图装置回答:

(1)在实验室可用同一气体发生装置制取O
2、H
2、CO
2三种气体,写出用该装置制取O
2的化学方程式
.
写出该发生装置所用的仪器名称(至少三种)
;
;
.
(2)在实验室制取O
2、H
2、CO
2三种气体的反应的共同点是
(填序号).
A.需要加热 B.需用催化剂 C.没有气体参加反应
(3)化学上可通过多种反应得到NH
3(NH
3极易溶于水,密度比空气小),例如:
a.2NH
4Cl(固)+Ca(OH)
2(固)

CaCl
2+2NH
3↑+2H
2O
b.NH
4HCO
3(固)

NH
3↑+CO
2↑+H
2O
c.CaO(固)+NH
3?H
2O=NH
3↑+Ca(OH)
2选用反应a在实验室制取NH
3时,应选用上图中的
(填装置序号,下同)作为反应的发生装置,选用反应c在实验室制取NH
3时,应选用上图中的
作为反应的发生装置,实验室制取NH
3不选择反应b的原因是
,收集NH
3应选择装置
,这是因为
.
查看答案和解析>>
科目:
来源:2013年广西北海市合浦县中考化学一模试卷(解析版)
题型:解答题
如下表为某加碘食盐包装袋上的部分图表文字(I的相对原子质量127).
根据得到的信息回答下面问题:
| 配料表 | 温馨提示 |
氯化钠 (NaCl) | ≥98.0% (以NaCl计) | 菜未烧熟不宜加入碘盐 菜烧熟后加入碘盐最佳 |
碘酸钾 (KIO3) | (35±15)mg/kg (以I计) |
(1)每个碘酸钾分子共有______个原子;
(2)碘酸钾分子的相对分子质量是______;
(3)碘酸钾(KIO
3)中碘元素的质量分数是多少?(列式计算,计算结果精确到0.1%)
(4)若某同学每天食用该加碘食盐10g,则他每天最多能从碘盐中吸收的碘元素的质量是多少?
查看答案和解析>>
科目:
来源:2013年上海市松江区中考化学二模试卷(解析版)
题型:选择题
下列叙述中,属于氧气化学性质的是( )
A.无色无味
B.常温下为气态
C.能支持燃烧
D.液氧为淡蓝色
查看答案和解析>>
科目:
来源:2013年上海市松江区中考化学二模试卷(解析版)
题型:选择题
空气成分中,体积分数约占78%的是( )
A.氧气
B.氮气
C.二氧化碳
D.稀有气体
查看答案和解析>>
科目:
来源:2013年上海市松江区中考化学二模试卷(解析版)
题型:选择题
下列物质在氧气中燃烧,产生大量白烟的是( )
A.木炭
B.铁丝
C.酒精
D.红磷
查看答案和解析>>
科目:
来源:2013年上海市松江区中考化学二模试卷(解析版)
题型:选择题
属于纯净物的是( )
A.大理石
B.天然气
C.蒸馏水
D.碘酒
查看答案和解析>>
科目:
来源:2013年上海市松江区中考化学二模试卷(解析版)
题型:选择题
壹佰元人民币的防伪油墨中含有MgF2,则MgF2中F元素的化合价是( )
A.+1
B.+2
C.-1
D.-2
查看答案和解析>>
科目:
来源:2013年上海市松江区中考化学二模试卷(解析版)
题型:选择题
科学家探索用CO除去SO
2,该研究涉及的一个反应:SO
2+2CO

2X+S,则X为( )
A.CO
2B.C
C.CS
2D.COS
查看答案和解析>>
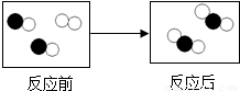
科目:
来源:2013年上海市松江区中考化学二模试卷(解析版)
题型:选择题
如图中“○”、“●”代表不同元素的原子,则图中所示的化学反应属于( )

A.化合反应
B.分解反应
C.置换反应
D.复分解反应
查看答案和解析>>