相关习题
0 81397 81405 81411 81415 81421 81423 81427 81433 81435 81441 81447 81451 81453 81457 81463 81465 81471 81475 81477 81481 81483 81487 81489 81491 81492 81493 81495 81496 81497 81499 81501 81505 81507 81511 81513 81517 81523 81525 81531 81535 81537 81541 81547 81553 81555 81561 81565 81567 81573 81577 81583 81591 211419
科目:
来源:2012年江苏省常州市翠竹中学中考化学模拟试卷(解析版)
题型:选择题
下列各组离子在溶液中一定能大量共存的是( )
A.Na+ Cl- OH-
B.K+ Ca2+ CO32-
C.H+ Cl- CO32-
D.Na+Fe3+OH-
查看答案和解析>>
科目:
来源:2012年江苏省常州市翠竹中学中考化学模拟试卷(解析版)
题型:选择题
下列用连线方法对部分化学知识进行归纳的内容中,有错误的一组是( )
A.元素或物质缺乏导致的病症:①缺碘--甲状腺疾病②缺铁--贫血症③缺维A--夜盲症④缺维C--牙龈出血、坏血病
B.环保与物质利用:①减少水污染--合理使用农药、化肥②减少汽车尾气污染--使用乙醇汽油③减少白色污染--使用可降解的塑料
④减少土壤污染--废旧电池集中处理
C.材料属类:①羊绒衫--天然纤维;②机动车的轮胎--复合材料;③食品袋--聚氯乙烯塑料;④不锈钢餐具--金属材料
D.待鉴别物质与鉴别方法:①固体NaOH、NH4NO3、NaCl--只用水②黄铜、黄金--灼烧③纯棉、羊毛、涤纶--燃烧闻产生的气味,观察燃烧情况和灰烬
查看答案和解析>>
科目:
来源:2012年江苏省常州市翠竹中学中考化学模拟试卷(解析版)
题型:选择题
下列各种物质间的转换能通过一步反应实现的是( )
①P→P2O5;②SO3→H2SO4;③Fe2O3→FeCl2;④CH4→C.
A.①②③
B.①③④
C.①②④
D.②③④
查看答案和解析>>
科目:
来源:2012年江苏省常州市翠竹中学中考化学模拟试卷(解析版)
题型:选择题
下列有关饱和溶液的说法中,正确的是( )
A.饱和溶液的溶质质量分数一定比不饱和溶液的大
B.饱和溶液降温析出晶体后的溶液一定是不饱和溶液
C.任何饱和溶液升温后都会变成不饱和溶液
D.一定温度下,向氯化钠饱和溶液中加入水后会变成不饱和溶液
查看答案和解析>>
科目:
来源:2012年江苏省常州市翠竹中学中考化学模拟试卷(解析版)
题型:选择题
下面除去混合物中少量杂质(括号内为杂质)的方案中,不合理的是( )
A.混合物:Cu(Fe);思路方法:置换、过滤、洗涤烘干;选用物质:盐酸
B.混合物:KNO3 (NaCl);思路方法:降温结晶、过滤、洗涤烘干;选用物质:水
C.混合物:CO2(CO);思路方法:点燃;选用物质:氧气
D.混合物:CaCl2 (CaCO3);思路方法:溶解、过滤、蒸发结晶;选用物质:水
查看答案和解析>>
科目:
来源:2012年江苏省常州市翠竹中学中考化学模拟试卷(解析版)
题型:选择题
下列对露置在空气中已部分变质的氢氧化钠溶液样品进行的相关实验中,实验现象及结论合理的是( )
A.取一定量溶液样品,滴入稀盐酸,立即有大量气体产生
B.取一定量溶液样品,滴入适量的澄清石灰水,过滤,向滤液中滴加酚酞溶液,溶液变红,证明原样品中含有氢氧化钠
C.取一定量溶液样品,滴入足量的氯化钙溶液,过滤,向滤液中滴加酚酞溶液,溶液变红,证明原样品中含有氢氧化钠
D.向溶液样品中加入过量的澄清石灰水充分反应,过滤,可除去样品中的杂质
查看答案和解析>>
科目:
来源:2012年江苏省常州市翠竹中学中考化学模拟试卷(解析版)
题型:解答题
(1)用数字和符号表示
①两个氧原子______;②3个碳酸根离子______;③五氧化二氮中氮元素显正五价______.
(2)学习化学的目的更重要的是在于应用.请按要求填空:
①2012年3月18日云南玉溪发生了森林火灾,要灭森林着火,应该______;
②为了保证人身安全,进入久未开启的菜窖前,必须先做______实验;
③点燃氢气、甲烷、一氧化碳等可燃性气体前要先______.
查看答案和解析>>
科目:
来源:2012年江苏省常州市翠竹中学中考化学模拟试卷(解析版)
题型:解答题
生活中经常接触到下列物质:
A.蛋白质 B.氢氧化钙 C.盐酸 D.硝酸钾 E.碳酸钠 F.玻璃. 其中,
(1)常用于金属除锈的是______( 填字母,下同);(2)农田施用的复合肥是______;
(3)构成细胞的基础物质的是______; (4)常用于改良酸性土壤的是______;
(5)属于无机非金属材料的是______; (6)常用作洗涤剂的是______.
查看答案和解析>>
科目:
来源:2012年江苏省常州市翠竹中学中考化学模拟试卷(解析版)
题型:解答题
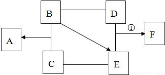
A、B、C、D、E、F是常见的酸、碱、盐、氧化物中的一种,其中A、B是建筑材料,F是厨房中的调味品,他们间有如右图的关系(“--”表示物质在一定条件下可以发生反应,“→”表示物质间在一定条件下可以相互转化,反应条件和部分生成物省略).回答下列问题:

(1)写出下列物质的化学式:
A______C______D______F______;
(2)写出下列反应的化学方程式:
①C+E______,②B→E______;
(3)转化①反应的基本类型是______,又叫______反应.
查看答案和解析>>
科目:
来源:2012年江苏省常州市翠竹中学中考化学模拟试卷(解析版)
题型:解答题
某研究性学习小组欲利用下列装置进行相关气体制取的探究,请你分析并填空.

(1)写出图中仪器a的名称______.
(2)实验室用加热高锰酸钾制取氧气时的化学方程式为______ K
2MnO
4+MnO
2+O
2↑
查看答案和解析>>