相关习题
0 81458 81466 81472 81476 81482 81484 81488 81494 81496 81502 81508 81512 81514 81518 81524 81526 81532 81536 81538 81542 81544 81548 81550 81552 81553 81554 81556 81557 81558 81560 81562 81566 81568 81572 81574 81578 81584 81586 81592 81596 81598 81602 81608 81614 81616 81622 81626 81628 81634 81638 81644 81652 211419
科目:
来源:2013年江苏省无锡市刘潭中学中考化学模拟试卷(一)(解析版)
题型:选择题
“关爱生命,拥抱健康”是永恒的主题.下列做法不利于人体健康的是( )
A.多食水果和蔬菜,给人体补充维生素
B.用甲醛浸泡水产品,以防其变质
C.胃酸过多的病人应少吃桔子
D.向易变质的食品包装袋中充入氮气
查看答案和解析>>
科目:
来源:2013年江苏省无锡市刘潭中学中考化学模拟试卷(一)(解析版)
题型:选择题
根据下图的有关信息判断,下列说法正确的是( )

A.镁离子(Mg
2+)核内有12个质子
B.镁的相对原子质量为24.31g
C.在化学反应中,氯原子容易失去1个电子
D.镁离子(Mg
2+)与氯离子(Cl
-)的最外层电子数不相等
查看答案和解析>>
科目:
来源:2013年江苏省无锡市刘潭中学中考化学模拟试卷(一)(解析版)
题型:选择题
化学就在我们身边,下列说法或做法不正确的是( )
A.加入纯碱能使蒸出的馒头疏松多孔
B.梅园梅花开放,花香四溢,说明微粒是不断运动的
C.不锈钢是铁合金,属于有机合成材料
D.使用含氟牙膏可防龋齿,这里的“氟”指的是氟元素
查看答案和解析>>
科目:
来源:2013年江苏省无锡市刘潭中学中考化学模拟试卷(一)(解析版)
题型:选择题
地球上71%的面积覆盖着水,水是生命之源,也是重要的溶剂,下列说法正确的是( )
A.将1gCaO投入到99g水中,溶质的质量分数1%
B.常温下KNO3、Ca(OH)2的饱和溶液降温后仍是饱和溶液
C.将NaCl、蔗糖溶于水后,溶质均以分子形式存在
D.溶质在溶解的过程中,有的放出热量,有的吸收热量
查看答案和解析>>
科目:
来源:2013年江苏省无锡市刘潭中学中考化学模拟试卷(一)(解析版)
题型:选择题
N(NO2)3是科学家2011年发现的一种新型火箭推进剂的原料.下列有关说法正确的是( )
A.N(NO2)3由三种元素组成
B.N(NO2)3属于有机高分子化合物
C.N(NO2)3的相对分子质量152
D.N(NO2)3中氮元素的质量分数为18.4%
查看答案和解析>>
科目:
来源:2013年江苏省无锡市刘潭中学中考化学模拟试卷(一)(解析版)
题型:选择题
除去下列物质中混有的少量杂质(括号内为杂质),所用方法正确的是( )
A.CO2气体(CO气体)--通入氧气
B.CaO固体(CaCO3固体)--加水充分溶解,过滤
C.KCl固体(MnO2固体)--加水充分溶解,过滤,蒸发结晶
D.NaCl溶液(CaCl2溶液)--滴加碳酸钾溶液至恰好完全反应,过滤
查看答案和解析>>
科目:
来源:2013年江苏省无锡市刘潭中学中考化学模拟试卷(一)(解析版)
题型:选择题

如图是a、b两种固体物质的溶解度曲线.从图中获得的信息错误的是( )
A.a物质的溶解度随温度升高而增大
B.30℃时,b物质的溶解度为20g
C.t℃时,a、b的饱和溶液溶质质量分数相等
D.30℃时的b物质饱和溶液降温至10℃,溶液中溶质质量分数不变
查看答案和解析>>
科目:
来源:2013年江苏省无锡市刘潭中学中考化学模拟试卷(一)(解析版)
题型:选择题
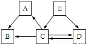
如图所示.已知常温下B、C为气体,且B是植物进行光合作用的一种重要原料;D、E均为无色液体,都由相同的两种元素组成,且分子中原子个数比依次为2:1和1:1;A为黑色固体,与稀硫酸反应得到蓝色溶液(部分反应物和生成物及反应条件已略去).
下列有关判断正确的是( )

A.A转变为B不一定是置换反应
B.D是含氧量最高的氧化物
C.D、E中相同元素的化合价一定相同
D.除去B中混有的少量C,可以将混合气体通过盛有NaOH溶液的洗气瓶
查看答案和解析>>
科目:
来源:2013年江苏省无锡市刘潭中学中考化学模拟试卷(一)(解析版)
题型:选择题
下列图象正确的是( )
①

表示KMnO
4加热制O
2生成的MnO
2的质量与时间的关系图
②

表示CO还原CuO的实验中,试管内的固体质量与时间的关系图
③

表示向CaCl
2(含少量 HCl) 溶液中滴加K
2CO
3溶液,
④

等质量的铁片和锌片分别和足量的质量分数相同的稀硫酸反应.
A.①②③
B.②③④
C.②③
D.②④
查看答案和解析>>
科目:
来源:2013年江苏省无锡市刘潭中学中考化学模拟试卷(一)(解析版)
题型:选择题
下图为某一反应的微观示意图,下列说法错误的是( )

A.X是有机物,Z、W是无机物
B.该反应中反应物X、Y的化学计量数之比为1:3
C.X物质中碳元素的质量分数为75.0%
D.点燃X前,要先检验其纯度,以防止发生爆炸
查看答案和解析>>