相关习题
 0  81606  81614  81620  81624  81630  81632  81636  81642  81644  81650  81656  81660  81662  81666  81672  81674  81680  81684  81686  81690  81692  81696  81698  81700  81701  81702  81704  81705  81706  81708  81710  81714  81716  81720  81722  81726  81732  81734  81740  81744  81746  81750  81756  81762  81764  81770  81774  81776  81782  81786  81792  81800  211419 

科目: 来源:2013年黑龙江省哈尔滨市中考化学模拟试卷(六)(解析版) 题型:填空题

化学与生活息息相关,所以学好化学知识能让我们解除一些困扰.
(1)为了全民健康,卫生部推广使用强化加铁酱油,这里的“铁”指的是    (填“单质”、“元素”).
(2)张楠经常感冒,医生说她维生素摄入量不足,建议张楠多吃    (填字母).

(3)“我有我奥妙”是一则广告语,合成洗涤剂有较好的去油污能力,这是因为洗涤剂具有    功能.
(4)图1所示的“火立熄”是一种新型的家用灭火用品.“火立熄”接触
到火焰3-5秒后炸开,释放的粉末覆盖在燃烧物上,同时放出不可燃气体,使火焰熄灭.“火立熄”的灭火原理是    (填标号).
A.清除可燃物          B.使燃烧物与氧气隔绝     C.降低燃烧物的着火点
(5)近期各大媒体纷纷报道部分黑心企业用皮革废料熬制成工业明胶,再卖给药用胶囊生产企业.这种工业明胶制成的胶囊中重金属盐--重铬酸钾(K2Cr2O7)的含量严重超标,重铬酸钾中铬(Cr)的化合价为   

查看答案和解析>>

科目: 来源:2013年黑龙江省哈尔滨市中考化学模拟试卷(六)(解析版) 题型:填空题

根据题目信息:用数字和化学符号填空.

           

查看答案和解析>>

科目: 来源:2013年黑龙江省哈尔滨市中考化学模拟试卷(六)(解析版) 题型:填空题

如图是某过氧乙酸的消毒液标签的部分文字说明:

(1)过氧乙酸属于    (选填“有机物”或“无机物”).
(2)过氧乙酸由    种元素组成,其中碳元素的质量分数为   
(3)由标签上的使用方法和注意事项推测,过氧乙酸具有的性质有    (写一点即可).
(4)该瓶过氧乙酸消毒液中含有过氧乙酸的质量    g.

查看答案和解析>>

科目: 来源:2013年黑龙江省哈尔滨市中考化学模拟试卷(六)(解析版) 题型:填空题

实验结束时,同学们将含有CuSO4、ZnSO4、FeSO4的废液倒在废液缸里,如果将废液直接排放就会造成水污染.于是几位同学利用课余处理废液,回收工业重要原料硫酸锌和有关金属.实验过程如下:

请回答:
(1)滤液A和滤液B含有相同的溶质,其名称是    ;固体B的化学式为   
(2)写出步骤①其中一个反应的化学方程式   
(3)要检验步骤④中加入的稀硫酸是否足量的方法是   

查看答案和解析>>

科目: 来源:2013年黑龙江省哈尔滨市中考化学模拟试卷(六)(解析版) 题型:解答题

实验室部分仪器或装置如图8所示,请回答下列问题

(l)写出指定仪器的名称:A______,B______,C______.
(2)若要组装一套过氧化氢溶液和二氧化锰混合制取氧气的发生和收集装置,可选择图中的______.(填标号)
(3)若用高锰酸钾制取氧气,你认为还需增加的仪器是______,写出用高锰酸钾制取氧气的文字表达式:______

查看答案和解析>>

科目: 来源:2013年黑龙江省哈尔滨市中考化学模拟试卷(六)(解析版) 题型:填空题

分类归纳是化学学习的重要方法.下面是某同学对所学物质的分类归纳,请仔细分析并回答下列问题:

(1)写出C组物质所属的类别   
(2)在分类所列举的物质中,有一种物质归类错误,这种物质是   
(3)选择分类物质中的一种,写出一个有单质生成的分解反应的化学方程式(条件所需物质不受所列物质限制)   

查看答案和解析>>

科目: 来源:2013年黑龙江省哈尔滨市中考化学模拟试卷(六)(解析版) 题型:解答题

中央电视台播放的大型纪录片《水问》,向人们说明了水是生命之源,万物之基,是人类最宝贵的自然资源,唤起人们关心水、爱护水、节约水的意识.
(1)我国规定水质必须在感官性指标、化学指标、病理学指标等方面达标后方可以成为生活饮用水.各种指标的主要要求为:a.不得呈现异色;b.不得有异味;c.水应澄清透明;d.不得含有细菌和病毒.
①a、b两个指标可以利用______的吸附作用(填物质名称)而达到.
②下图为我市某地简易的自来水生产过程示意图:

c、d两个指标可以通过过滤和加入消毒剂而达到.但自来水在饮用前,往往
要煮沸,这不仅可以杀菌消毒,还可以达到______目的.
(2)许多实验中都用到了水,请指出下面甲、乙两图所示实验中水的作用.
甲图中:______;
乙图中:______.

(3)地球上水资源很丰富,大多数是海水,海水是提取食盐的重要原料.下列是某小组在实验室模拟从海水制备精盐的流程图:

此过程中没有涉及到的实验方法是______.
A.蒸发B.结晶C.过滤D.蒸馏.

查看答案和解析>>

科目: 来源:2013年黑龙江省哈尔滨市中考化学模拟试卷(六)(解析版) 题型:填空题

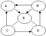
A~E都是初中化学中的常见物质,且有如图所示转化关系(反应条件、其他生成物均已略去,图中“-”表示两端的物质能发生化学反应;“→”表示物质间存在转化关系.)
已知A、B、C、D、E均为化合物,其中E为造成温室效应的主要气体,回答下列问题:
(1)写出下列物质的化学式:E    、A   
(2)写出下列反应方程式:D+E:   
C转化为D:   

查看答案和解析>>

科目: 来源:2013年黑龙江省哈尔滨市中考化学模拟试卷(六)(解析版) 题型:解答题

某实验小组的同学用碳酸钠粉末、碳酸钙粉末、块状大理石、稀盐酸、浓盐酸、稀硫酸这几种药品,探究哪些药品适合在实验室制取CO2.请你参与下列的探究并回答问题.
【提出问题】上述哪些物质间的反应适合在实验室制取CO2
【方案设计】大家经过讨论,一致认为浓盐酸不适合用于实验室制取CO2,你认为原因是______;
讨论后大家设计了如下四个实验进行对比分析.

【实验与结论】
(1)请你填写实验报告中①、②处的内容.
实验实验现象实验内容
A剧烈反应,迅速放出大量气泡反应速率过快,气体不便收集
B剧烈反应,迅速放出大量气泡反应速率过快,气体不便收集
C产生气泡,速率迅速减慢,反应几乎停止无法持续产生CO2
D①产生大量气泡②反应速率适中,气体便于收集
(2)根据探究结论,实验室制取二氧化碳的药品是______和______,反应原理为______(用化学方程式表示);
【拓展与迁移】
(1)由上述探究可知,在确定实验室制取气体的反应原理时,要考虑诸多因素,例如反应速率要适中,便于收集等.请你再写出一种需要考虑的因素:
______;
(2)右图是一种灭火器的工作原理示意图,其中用碳酸钠和浓盐酸反应来产生CO2的理由是______

查看答案和解析>>

科目: 来源:2013年黑龙江省哈尔滨市中考化学模拟试卷(六)(解析版) 题型:填空题

某同学欲配制溶质质量分数为3%的过氧化氢溶液作为消毒液.现有一瓶标签已破损的过氧化氢溶液,为测定瓶内溶液中溶质的质量分数,取该溶液34g于烧杯中,加入一定量的二氧化锰,完全反应后,称得烧杯内剩余物质的总质量是33.8g,将杯内剩余物质过滤、洗涤、干燥后得滤渣3g.请根据要求回答下列问题:
(1)加入二氧化锰后发生反应的化学方程式为   
(2)生成氧气的质量是   
(3)根据氧气的质量列出求解过氧化氢质量(x)的比例式为   
(4)瓶内过氧化氢溶液中溶质的质量分数是   
(5)若取一定量的瓶内溶液配制成溶质质量分数为3%的过氧化氢溶液100g,需加入水的质量是   

查看答案和解析>>

同步练习册答案