相关习题
 0  81641  81649  81655  81659  81665  81667  81671  81677  81679  81685  81691  81695  81697  81701  81707  81709  81715  81719  81721  81725  81727  81731  81733  81735  81736  81737  81739  81740  81741  81743  81745  81749  81751  81755  81757  81761  81767  81769  81775  81779  81781  81785  81791  81797  81799  81805  81809  81811  81817  81821  81827  81835  211419 

科目: 来源:2013年黑龙江省哈尔滨市中考化学模拟试卷(四)(解析版) 题型:解答题

A、B、C、X是初中化学学习中认识的常见物质,他们之间存在如下转化关系(反应条件已略去):ABC,其中A、X是单质,B、C为化合物.根据相关信息,请回答下列问题:
(1)A、B、C三种物质中都含有的一种元素是______(填名称,下同),该元素能组成多种物质,其中一种可作防毒面具的滤毒剂,这种物质可能是______.
(2)请例举出B物质的一种用途:______,并写出体现B物质该用途的化学方程式:______ 2Fe+3CO2

查看答案和解析>>

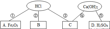
科目: 来源:2013年黑龙江省哈尔滨市中考化学模拟试卷(四)(解析版) 题型:解答题

同学们在学习酸碱的化学性质时构建了如图知识网络,A、B、C、D是不同类别的无机化合物,“-”表示物质在一定条件下可以发生化学反应.请回答下列问题:
(1)反应①的化学方程式为:______,实验现象为______;
(2)写出图中一个中和反应的化学方程式______;
(3)物质C应具备的条件是______.

查看答案和解析>>

科目: 来源:2013年黑龙江省哈尔滨市中考化学模拟试卷(四)(解析版) 题型:解答题

甲乙两位同学在学完酸碱盐的化学性质之后,分别作了如下的实验
【观察与讨论1】甲同学实验中没有观察到明显的现象,认为二者没有发生反应.你认为应该先向氢氧化钙溶液中滴几滴______溶液,再滴加适量的稀盐酸,当观察到______时,就可以说明两种物质发生了反应.
【观察与讨论2】实验结束后,甲乙两位同学依次将各自试管中的废液倒入同一个洁净的废液缸中.当乙同学沿废液缸内壁倾倒液体时,观察到废液缸中先有气体产生,然后又出现白色沉淀.经讨论后确定,甲乙两位同学试管中的废液含有的溶质分别是:甲______、乙______.(均填化学式)为了科学处理实验后产生的废液,两位同学觉定对废液缸中最终的废液进行探究.
【提出问题】最终废液中含有什么溶质?
【猜想与假设】
甲同学猜想:废液中含有NaCl、CaCl2两种溶质;
乙同学猜想:废液中含有NaCl、Na2CO3两种溶质;
你的猜想是______.
【活动与探究】
为了验证甲乙两位同学的猜想,请你设计实验:
实验步骤实验现象实验结论
取少量废液于试管中,向其中滴加适量的 
______ 溶液
若观察的
______
甲的猜想正确
 
______
若观察到
______
乙的猜想正确


查看答案和解析>>

科目: 来源:2013年黑龙江省哈尔滨市中考化学模拟试卷(四)(解析版) 题型:解答题

某化学兴趣小组的同学在实验室配制质量分数为8%的氢氧化钠溶液,并用其测定某稀盐酸中溶质的质量分数.
(1)配制200g质量分数为8%的氢氧化钠溶液.
①计算:需要氢氧化钠固体的质量为______g,水的体积为______mL(水的密度近似看作1g/cm3).
②称量:调节托盘天平平衡,将一个烧杯放在托盘天平的______盘,称量其质量.然后______(按操作的先后顺序选填字母),直至天平平衡.
A.将氢氧化钠固体加入烧杯中    B.按需要添加砝码、移动游码
该步骤中用烧杯而不用纸称量氢氧化钠的原因是______.
③溶解:用量筒量取所需的水,倒入盛有氢氧化钠固体的烧杯里,搅拌,使其溶解,并冷却至室温.
④把配好的溶液装入试剂瓶,塞好橡皮塞并贴上标签.
(2)如图表示用上述配制的氢氧化钠溶液与20g某稀盐酸发生反应后溶液温度的变化情况.
①根据曲线判断,当加入氢氧化钠溶液的质量为______时,反应恰好完全进行.
②当加入15g氢氧化钠溶液时,所得溶液中的溶质为______(写化学式).
③试计算该稀盐酸中溶质的质量分数(请写出计算过程).

查看答案和解析>>

科目: 来源:2013年山东省中考化学模拟试卷(一)(解析版) 题型:选择题

下列物质的用途,主要利用其化学性质的是( )
A.活性炭可除去冰箱中的异味
B.干冰用作人工降雨
C.氮气用作焊接金属的保护气
D.汽油可用于擦拭衣物上的油污

查看答案和解析>>

科目: 来源:2013年山东省中考化学模拟试卷(一)(解析版) 题型:选择题

下列实验现象叙述正确的是( )
A.硫在氧气中燃烧发出淡蓝色火焰
B.红磷在空气中燃烧发出蓝紫色火焰
C.镁带在空气中燃烧时,放出大量的热,生成黑色固体
D.氢氧化钠溶液与稀硫酸反应,溶液颜色无明显变化

查看答案和解析>>

科目: 来源:2013年山东省中考化学模拟试卷(一)(解析版) 题型:选择题

下列说法不正确的是( )
A.原子是化学变化中的最小微粒
B.人类利用的能量都是通过化学变化获得的
C.久置于空气中的生石灰质量会增加
D.原子的质量几乎都集中在原子核上,由质子和中子决定

查看答案和解析>>

科目: 来源:2013年山东省中考化学模拟试卷(一)(解析版) 题型:选择题

下列实验方法中错误的是( )
A.用肥皂水鉴别硬水和软水
B.用pH试纸测定溶液的酸碱度
C.用灼烧的方法鉴别羊毛和涤纶
D.用带火星木条伸入集气瓶内检验氧气是否收集满

查看答案和解析>>

科目: 来源:2013年山东省中考化学模拟试卷(一)(解析版) 题型:选择题

下列有关铁及其化合物的说法中错误的是( )
A.生铁和钢都是铁的合金
B.地壳中含量最多的金属元素是铁元素
C.铁在潮湿的空气中容易生锈
D.一氧化碳与氧化铁在高温下反应生成铁

查看答案和解析>>

科目: 来源:2013年山东省中考化学模拟试卷(一)(解析版) 题型:选择题

据探测卫星发回的数据分析,火星大气中95%是二氧化碳,其余为少量的氮气.氢气,还找到了有液态水存在的证据.根据以上信息,某同学作出如下推断:
①火星大气是混合物
②火星大气与地球大气成分相似
③火星上钢铁不容易生锈 
④火星环境适宜人类生存
⑤火星上温室效应显著.
你认为正确的是( )
A.①③⑤
B.②③⑤
C.②③④
D.①④⑤

查看答案和解析>>

同步练习册答案