相关习题
 0  81716  81724  81730  81734  81740  81742  81746  81752  81754  81760  81766  81770  81772  81776  81782  81784  81790  81794  81796  81800  81802  81806  81808  81810  81811  81812  81814  81815  81816  81818  81820  81824  81826  81830  81832  81836  81842  81844  81850  81854  81856  81860  81866  81872  81874  81880  81884  81886  81892  81896  81902  81910  211419 

科目: 来源:2011年广西梧州市中考化学模拟试卷(解析版) 题型:填空题

化学与生活密切相关.
(1)“钙强化营养盐”的配料表:氯化钠、活性钙、碘酸钾.该盐中的营养成分表如下:
项目能量蛋白质脂肪糖类
每100克0kJ0g0g0g35385mg250mg2mg
从上表中可知,此盐中含有    类营养素.
(2)正常的雨水因溶解了二氧化碳而显酸性,酸雨是指    的雨水.
A.pH>7          B.pH<7         C.5.6<pH<7          D.pH<5.6
(3)用化学式填写:食盐、熟石灰、干冰、生石灰四种物质,可改良酸性土壤的是    ,可用作调味品的是   

查看答案和解析>>

科目: 来源:2011年广西梧州市中考化学模拟试卷(解析版) 题型:填空题

选用分子、原子、离子、质子、中子、电子中适合的粒子填入下列空格上.
(1)化学变化中的最小粒子是   
(2)质量最小的粒子是   

查看答案和解析>>

科目: 来源:2011年广西梧州市中考化学模拟试卷(解析版) 题型:填空题

电解水的化学方程式为    ,在    极得到氢气,氢气的相对分子质量为   

查看答案和解析>>

科目: 来源:2011年广西梧州市中考化学模拟试卷(解析版) 题型:填空题

可燃物着火燃烧需要的条件是       

查看答案和解析>>

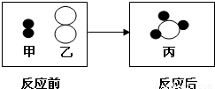
科目: 来源:2011年广西梧州市中考化学模拟试卷(解析版) 题型:填空题

如图为甲、乙两种不同的气态物质在一定条件下反应生成丙物质的微观示意图,其中分别表示氢原子和氮原子,则可知:

(1)一个丙分子由    个原子构成.
(2)构成甲物质的粒子是    (填“分子”、“原子”或“离子”).
(3)此反应中甲、乙、丙三种物质的粒子个数比为   

查看答案和解析>>

科目: 来源:2011年广西梧州市中考化学模拟试卷(解析版) 题型:填空题

如图是常见固体物质的溶解度曲线,根据图示回答:
(1)曲线上M点表示    ,t3℃时,A、B、C三种物质的溶解度由大到小的顺序为   
(2)t1℃时,将10g A物质放入100g水中,充分溶解后所得的溶液是    (填“饱和”或“不饱和”)溶液.欲使t2℃时C物质的饱和溶液变为不饱和溶液,可采取的方法是    (任填一种方法).

查看答案和解析>>

科目: 来源:2011年广西梧州市中考化学模拟试卷(解析版) 题型:填空题

为了保护环境,用煤作燃料的煤炉要适当增加进风量,将煤粉吹起使之剧烈燃烧,请解释这种做法有利于节能的原因是    ;当前国家提倡低碳减排,达到此目的可行的措施是(举一种)   

查看答案和解析>>

科目: 来源:2011年广西梧州市中考化学模拟试卷(解析版) 题型:填空题

金属的应用非常广泛.
(1)生活中常用铁锅炒菜,主要利用了铁的性质是(填序号)   
A.导热性        B.导电性        C.延展性         D.有金属光泽
(2)下列能与铁发生反应的是(填序号)   
A.氩气          B.稀盐酸        C.硫酸铜溶液     D.氯化锌溶液.

查看答案和解析>>

科目: 来源:2011年广西梧州市中考化学模拟试卷(解析版) 题型:填空题

在石灰水中滴入几滴酚酞试液,溶液呈    色;把此显色的溶液在空气中久置后,为什么溶液的颜色又会消失变成无色?   

查看答案和解析>>

科目: 来源:2011年广西梧州市中考化学模拟试卷(解析版) 题型:解答题

在化学课外小组活动时,甲、乙两位同学要分别制取一瓶O2和一瓶CO2.实验桌上只有下列五套装置,要求所用装置不能重复,甲同学选A作发生装置,乙同学选B作发生装置.

(1)甲同学利用A装置制取气体的化学方程式为______△2KCl+3O2↑或2KMnO4K2MnO4+MnO2+O2

查看答案和解析>>

同步练习册答案