相关习题
 0  81871  81879  81885  81889  81895  81897  81901  81907  81909  81915  81921  81925  81927  81931  81937  81939  81945  81949  81951  81955  81957  81961  81963  81965  81966  81967  81969  81970  81971  81973  81975  81979  81981  81985  81987  81991  81997  81999  82005  82009  82011  82015  82021  82027  82029  82035  82039  82041  82047  82051  82057  82065  211419 

科目: 来源:2011年甘肃省张掖六中中考化学二模试卷(解析版) 题型:解答题

如图是甲乙两种固体物质的溶解度曲线.据图回答:
(1)P点的含义是______.
(2)20℃时要使接近饱和的甲溶液变成饱和溶液,可采用的方法有______(写出一种)
(3)当甲中含有少量乙时,可采用______的方法提纯甲.
(4)30℃时,将40g甲物质放入盛有50g水的烧杯中,所得溶液溶质的质量分数为______;若将烧杯内物质升温到50℃(不考虑水蒸发),溶液中变化的是______(选填A、B、C、D)
A、溶剂的质量  B、溶液的质量C、溶质的质量分数D、以上都不变.

查看答案和解析>>

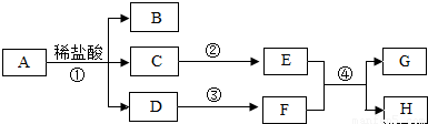
科目: 来源:2011年甘肃省张掖六中中考化学二模试卷(解析版) 题型:填空题

A~H是初中化学常见的物质,其中A是发酵粉的主要成分之一,B是常用调味品,E、F的俗称分别是熟石灰、纯碱.它们之间的相互转化关系如下图.
(1)写出A、B的化学式:A    ,B   
(2)在物质的分类中,D属于    (填“酸”、“碱”、“盐”或“氧化物”).
(3)图中反应②的化学方程式为   
(4)图中反应④的化学方程式为   

查看答案和解析>>

科目: 来源:2011年甘肃省张掖六中中考化学二模试卷(解析版) 题型:解答题

以下是初中化学的一些基本实验:

(1)上述实验中不能达到实验目的是______(填字母).
(2)A中可燃物应取过量的原因是______;B中玻璃棒的作用是______;一段时间后,C中的实验现象为______;D中硬质玻璃管内发生反应的化学方程式为______ 2Fe+3CO2

查看答案和解析>>

科目: 来源:2011年甘肃省张掖六中中考化学二模试卷(解析版) 题型:解答题

实验室用大理石(杂质既不溶于水也不与稀盐酸反应)和稀盐酸反应制取二氧化碳.实验结束后,锥形瓶内已无气泡产生,但还有少量固体剩余.写出反应的化学方程式______,该反应的基本类型是______.
小文和小明对锥形瓶内溶液中溶质的成分展开辩论:
小文说:因瓶内有固体剩余,所以溶液中只有氯化钙而无盐酸.小明不完全同意小文的说法,请你说出小明的理由______.按小明的猜想,写出溶液中成分的几种可能______,请你选择其中-种情况,设计实验证明,完成下列探究报告:
猜想实验步骤实验现象及结论

查看答案和解析>>

科目: 来源:2011年甘肃省张掖六中中考化学二模试卷(解析版) 题型:填空题

最近,在我国各大城市举办以“珍爱生命,拒绝毒品”为主题的全国禁毒展览,从大麻叶中提取的一种毒品,叫大麻酚,它的化学式为C21H26O2在空气中焚烧生成二氧化碳和水.
(1)则该物质的相对分子质量为   
(2)该物质中碳、氢、氧三种元素的质量比为   

查看答案和解析>>

科目: 来源:2011年甘肃省张掖六中中考化学二模试卷(解析版) 题型:解答题

某同学为了测定黄铜屑(由锌和铜形成的合金)样品组成,取四份样品分别加稀硫酸反应,其实验数据记录如下表.
试计算:
样品第1份第2份第3份第4份
取样品质量(g)50.050.050.050.0
取稀硫酸质量(g)40.080.0120.0160.0
产生气体质量(g)0.40.81.01.0
(1)经分析,在第1份样品测得的数据中,______(填物质)完全反应了.
(2)列式计算黄铜屑样品中的锌的质量分数和所用稀硫酸中溶质的质量分数.______.

查看答案和解析>>

科目: 来源:2011年甘肃省张掖六中中考化学二模试卷(解析版) 题型:填空题

已知:A、B、C、D、E、F六种物质是初中化学常见的物质.A、B是单质,C、D、E都是氧化物.A、B、C转化为F的过程较为复杂,F的成份也较复杂,其主要成分是一种红色的固体.试根据各物质间的转化关系完成下列各题.(题中除反应条件未给出外,反应物和产物均已给出.)
(1)写出F中主要成分的化学式:   
(2)写出下列物质转化的化学方程式:
E→B+C:   
A+B→D:   

查看答案和解析>>

科目: 来源:2013年贵州省遵义市中考化学模拟试卷(三)(解析版) 题型:选择题

2012年3月22日是第二十届“世界水日”,下列节水措施中不可取的是( )
A.工业废水处理达标后循环使用
B.农业浇灌推广使用喷灌、滴灌技术
C.大量开采使用地下水
D.洗菜、淘米、洗衣的水可以用来浇花、拖地、冲厕所

查看答案和解析>>

科目: 来源:2013年贵州省遵义市中考化学模拟试卷(三)(解析版) 题型:选择题

今天的午餐食谱是:主食--面包;配菜和副食--炸鸡腿、炸薯片、牛排、牛奶.则该午餐食谱缺乏的营养素是( )
A.糖类
B.脂肪
C.蛋白质
D.维生素

查看答案和解析>>

科目: 来源:2013年贵州省遵义市中考化学模拟试卷(三)(解析版) 题型:选择题

下列做法不符合“低碳环保”理念的是( )
A.为了节约用纸,两面使用草稿纸
B.为了“QQ”能够升级,长期把“QQ”挂在线上
C.为了提高资源利用率,将垃圾分类回收
D.减少使用私家车次数,多乘公交车、骑自行车或步行

查看答案和解析>>

同步练习册答案