相关习题
0 82115 82123 82129 82133 82139 82141 82145 82151 82153 82159 82165 82169 82171 82175 82181 82183 82189 82193 82195 82199 82201 82205 82207 82209 82210 82211 82213 82214 82215 82217 82219 82223 82225 82229 82231 82235 82241 82243 82249 82253 82255 82259 82265 82271 82273 82279 82283 82285 82291 82295 82301 82309 211419
科目:
来源:2012年云南省大理、楚雄、文山、保山、丽江、怒江、迪庆、临沧中考化学试卷(解析版)
题型:选择题
下列实验操作中,正确的是( )
A.

滴加液体
B.

倾倒液体
C.

点燃酒精灯
D.

取用固体粉末
查看答案和解析>>
科目:
来源:2012年云南省大理、楚雄、文山、保山、丽江、怒江、迪庆、临沧中考化学试卷(解析版)
题型:选择题
今年4月,我国查获首起铬超标“毒胶囊”事件.这里的铬应该理解为( )
A.分子
B.原子
C.元素
D.离子
查看答案和解析>>
科目:
来源:2012年云南省大理、楚雄、文山、保山、丽江、怒江、迪庆、临沧中考化学试卷(解析版)
题型:选择题
下列有关实验现象描述正确的是( )
A.硫在空气中燃烧产生蓝紫色火焰
B.一氧化碳还原氧化铁,固体由黑色变成红色
C.镁和盐酸反应,放出热量
D.铁和稀硫酸反应,溶液由无色变为黄色
查看答案和解析>>
科目:
来源:2012年云南省大理、楚雄、文山、保山、丽江、怒江、迪庆、临沧中考化学试卷(解析版)
题型:选择题
下列各物质的俗名与化学式相一致的是( )
A.干冰H2O
B.纯碱NaOH
C.小苏打Na2CO3
D.熟石灰Ca(OH)2
查看答案和解析>>
科目:
来源:2012年云南省大理、楚雄、文山、保山、丽江、怒江、迪庆、临沧中考化学试卷(解析版)
题型:选择题
下列说法不正确的是( )
A.水是最常见的溶剂
B.催化剂一定能加快化学反应的速率
C.用灼烧法可以鉴别羊毛和合成纤维
D.洗涤剂具有乳化功能可除去油污
查看答案和解析>>
科目:
来源:2012年云南省大理、楚雄、文山、保山、丽江、怒江、迪庆、临沧中考化学试卷(解析版)
题型:选择题
近年来我省出现严重的旱情,给农作物施用磷肥能增强其抗旱、抗寒能力,下列属于磷肥的是( )
A.CO(NH2)2
B.KCl
C.KNO3
D.Ca(H2PO4)2
查看答案和解析>>
科目:
来源:2012年云南省大理、楚雄、文山、保山、丽江、怒江、迪庆、临沧中考化学试卷(解析版)
题型:选择题
某物质X在空气中燃烧的化学方程式为:2X+13O2=8CO2+10H2O,则X的化学式为( )
A.C2H5OH
B.H2
C.CH4
D.C4H10
查看答案和解析>>
科目:
来源:2012年云南省大理、楚雄、文山、保山、丽江、怒江、迪庆、临沧中考化学试卷(解析版)
题型:选择题
如图是a、b两种固体物质的溶解度曲线,下列说法中正确的是( )

A.a物质的溶解度大于b物质的溶解度
B.t
1℃时,30克a物质加入到70克水中,所得溶液溶质质量分数为30%
C.t
1℃时,将a、b两种物质的饱和溶液升温至t
2℃,所得a、b两种物质的溶液中溶质质量分数相等
D.将 t
2℃时b物质的溶液降温到t
1℃,溶液一定变为饱和溶液
查看答案和解析>>
科目:
来源:2012年云南省大理、楚雄、文山、保山、丽江、怒江、迪庆、临沧中考化学试卷(解析版)
题型:选择题
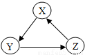
下列各组物质,不能按照图关系相互转化的是(“→”表示反应一步完成)( )

A.X是CaCO
3,Y是CaO,Z是Ca(OH)
2B.X是BaCl
2,Y是Ba(NO
3)
2,Z是BaCO
3C.X是CuCl
2,Y是Cu(OH)
2,Z是CuSO
4D.X是Na
2SO
4,Y是NaCl,Z是NaNO
3
查看答案和解析>>
科目:
来源:2012年云南省大理、楚雄、文山、保山、丽江、怒江、迪庆、临沧中考化学试卷(解析版)
题型:填空题
用化学用语填空:
(1)2个氮原子 .
(2)钙离子 .
(3)氢氧化钾 .
(4)二氧化硫中硫元素的化合价 .
(5)地壳中含量最多的元素 .
查看答案和解析>>