相关习题
0 82117 82125 82131 82135 82141 82143 82147 82153 82155 82161 82167 82171 82173 82177 82183 82185 82191 82195 82197 82201 82203 82207 82209 82211 82212 82213 82215 82216 82217 82219 82221 82225 82227 82231 82233 82237 82243 82245 82251 82255 82257 82261 82267 82273 82275 82281 82285 82287 82293 82297 82303 82311 211419
科目:
来源:2013年贵州省遵义市汇川区中考化学模拟试卷(一)(解析版)
题型:填空题
请用化学符号或者化学式填写:
(1)1个氢原子 ; (2)5个五氧化二氮分子 ; (3)食盐水中的阴离子 ; (4)地壳中含量最高的金属元素 ;(5)氧化钙中钙元素的化合价 ;(6)氢氧化铁 .
查看答案和解析>>
科目:
来源:2013年贵州省遵义市汇川区中考化学模拟试卷(一)(解析版)
题型:填空题
环境问题是2011年“两会上”的热门话题之一.
①燃气安全是家庭生活中的头等大事.为了防止燃气泄漏,常在燃气中加入少量有特殊气味的乙硫醇(C2H5SH).一旦燃气泄漏即可闻到气味,从微观的角度分析其原因是 ;乙硫醇充分燃烧时生成二氧化碳、二氧化硫和水,乙硫醇燃烧的化学方程式为 ;
②含硫煤燃烧后,排放到空气中的有毒气体主要是SO2,它遇到雨水后可形成酸雨降落到地面上会带来极大危害.为了减少环境污染,对工厂排放的废气中的SO2可用足量烧碱溶液吸收处理,其化学反应方程式为 .
查看答案和解析>>
科目:
来源:2013年贵州省遵义市汇川区中考化学模拟试卷(一)(解析版)
题型:填空题
中考期间同学们很辛苦,要注意生活中的点滴才能保证中考顺利进行,取得好成绩.请你用所学知识回答下列问题:
(1)衣服以纯棉质地为佳.鉴别纯棉与涤纶可用 方法.
(2)均衡膳食.下列食物中,能提供大量维生素的是 (填字母序号).
A、蔬菜 B、牛奶 C、大米
(3)严禁吸烟.香烟烟气中含有几百种对人体有害的物质,毒性作用最大的有 、尼古丁和含有致癌物的焦油等.
(4)常开窗户呼吸新鲜空气.你能闻到窗外的花香是因为 .
查看答案和解析>>
科目:
来源:2013年贵州省遵义市汇川区中考化学模拟试卷(一)(解析版)
题型:填空题
某微粒结构示意图为

请分析并用化学用语填空:
(1)若X=8,则该微粒表示的是
.
(2)若X=12,则该微粒表示的是
.
查看答案和解析>>
科目:
来源:2013年贵州省遵义市汇川区中考化学模拟试卷(一)(解析版)
题型:解答题
如表提供了A、B两种物质的溶解度数据,读取信息后回答:
| 温度/℃ | | 20 | 40 | 60 | 80 | 100 |
| 物质A | 27.6 | 34.0 | 40.0 | 45.5 | 51.1 | 56.7 |
| 物质B | 13.3 | 31.6 | 63.9 | 110 | 169 | 246 |
(1)A、B物质都属于______物质(填“难溶”、“微溶”、“可溶”或“易溶”);
(2)A、B两物质溶解度随温度变化趋势的不同是
______如图给出的曲线中,______与A物质溶解度的变化趋势相符(填曲线编号);
(3)从A、B两物质的混合物中分离出B物质,一般采用______的方法.

查看答案和解析>>
科目:
来源:2013年贵州省遵义市汇川区中考化学模拟试卷(一)(解析版)
题型:填空题
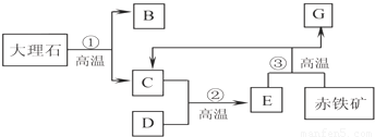
工业上以大理石和赤铁矿为主要原料制取B和G,其转化关系如图所示,已知D、G为单质.回答下列问题:

(1)写出B的化学式:
.
(2)写出反应①的化学方程式:
.
(3)写出反应③的化学方程式
.
查看答案和解析>>
科目:
来源:2013年贵州省遵义市汇川区中考化学模拟试卷(一)(解析版)
题型:解答题
氢气是最轻的气体,难溶于水.氢气作为未来的理想能源,是航天工业的高能燃料,也是化工生产的重要原料.实验室通常采用下面装置制取少量氢气,

请根据要求回答:
(1)实验室用稀盐酸和锌粒制取氢气的化学反应方程式为______,不用浓盐酸原因是______,实验中可采用G方法放置的原因是______.
(2)B装置的作用是______.
(3)该发生装置也可以制取二氧化碳,其发生反应的化学方程式为______.
查看答案和解析>>
科目:
来源:2013年贵州省遵义市汇川区中考化学模拟试卷(一)(解析版)
题型:解答题
葡萄糖是生命体所需能量的主要来源.
[提出问题]葡萄糖的燃烧产物是CO
2和H
2O,由此能否证明葡萄糖是只由碳元素和氢元素组成的有机物?
[实验设计]为了确定葡萄糖的元素组成,某小组设计了如下实验(其中浓硫酸、无水CaCl
2均为常用干燥剂,部分固定装置省略).

(1)装置A中发生反应的化学方程式是______ 2H
2O+O
2↑
查看答案和解析>>
科目:
来源:2013年贵州省遵义市汇川区中考化学模拟试卷(一)(解析版)
题型:解答题
小苏打(主要成分为NaHCO
3)中常含有少量氯化钠.化学兴趣小组的同学为了测定某品牌小苏打中NaHCO
3的质量分数.进行了以下实验:称量样品置于烧杯中,向其中慢慢滴加稀盐酸,至不再产生气泡为止,测得的有关数据如下表所示.
| 物 质 | 样 品 | 消耗稀盐酸质量 | 反应后溶液质量 |
| 质量(g) | 9 | 75.4 | 80 |
试计算:(计算结果保留一位小数)
(1)样品中的NaHCO
3质量分数;
(2)所得溶液中NaCl的质量分数.
查看答案和解析>>
科目:
来源:2012年云南省大理、楚雄、文山、保山、丽江、怒江、迪庆、临沧中考化学试卷(解析版)
题型:选择题
下列变化中属于化学变化的是( )
A.汽油挥发
B.纸张燃烧
C.石蜡熔化
D.瓷碗破碎
查看答案和解析>>