相关习题
 0  82147  82155  82161  82165  82171  82173  82177  82183  82185  82191  82197  82201  82203  82207  82213  82215  82221  82225  82227  82231  82233  82237  82239  82241  82242  82243  82245  82246  82247  82249  82251  82255  82257  82261  82263  82267  82273  82275  82281  82285  82287  82291  82297  82303  82305  82311  82315  82317  82323  82327  82333  82341  211419 

科目: 来源:2012年湖北省黄冈市浠水县中考化学模拟试卷(解析版) 题型:选择题

如图是A、B、C三种物质的溶解度曲线.下列叙述错误的是( )

A.t1℃时,三种物质的溶解度大小顺序为A<B<C
B.t2℃时,A、B两种物质的溶解度相等
C.t3℃时B的饱和溶液降温到t1℃,变成不饱和溶液
D.若要将组成在N点的A溶液转变为M点的A溶液,可以采取恒温蒸发溶剂的方法

查看答案和解析>>

科目: 来源:2012年湖北省黄冈市浠水县中考化学模拟试卷(解析版) 题型:填空题

从C、H、O、N、S、P、Na、Fe、Ba等9种元素中选择恰当的元素,用离子符号、化学式或化学方程式按下列要求填空:
(1)硫酸钠中的阴离子    ;氯化亚铁中的阳离子    ;能使木材、纸张变黑的酸    ;溶于水后显碱性的气体    ;用于造纸、洗涤剂的盐   
(2)一种暗红色的固体燃烧生成大量的白烟   
(3)高炉炼铁(以赤铁矿为例)过程中还原成铁的主要反应原理   
(4)有沉淀生成的中和反应   
(5)在人体组织里,葡萄糖在酶的作用下发生缓慢氧化   

查看答案和解析>>

科目: 来源:2012年湖北省黄冈市浠水县中考化学模拟试卷(解析版) 题型:填空题

通过一年的化学学习,同学们对身边的常见物质有所认识,并能用所学的知识解释一些问题.请按要求回答下列问题:
(1)服用含Al(OH)3的药物来治疗胃酸过多,其反应方程式为   
(2)鉴别常用铵态氮肥、磷肥、钾肥三种化肥,首先看外观,    的是磷肥,然后将另两种化肥各取少许,分别和少量的熟石灰粉末混合、研磨,能嗅到气味的是   
(3)碳单质包括金刚石、石墨和C60等,它们的化学性质相似,如它们都有可燃性,试写出C60在空气中完全燃烧的化学方程式   

查看答案和解析>>

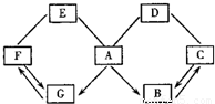
科目: 来源:2012年湖北省黄冈市浠水县中考化学模拟试卷(解析版) 题型:解答题

如图所示A~G是初中化学常见的物质.图中“→”表示转化关系,“-”表示相互能反应.已知A是人体胃液中含有的酸,G是最轻的气体,B、C、D、E、F都是氧化物.请回答:
(1)G的化学式为______,E与F发生化学反应的基本类型是______,写出物质B的一种用途______;
(2)C、D发生反应的化学方程式可能为______ 2Fe+3CO2

查看答案和解析>>

科目: 来源:2012年湖北省黄冈市浠水县中考化学模拟试卷(解析版) 题型:解答题

某同学欲测定草木灰中碳酸钾的含量,称取69g试样于烧杯中,加入29.2g稀盐酸恰好完全反应,充分反应后,称得混合物的总质量为93.8g(忽略二氧化碳的溶解对质量的影响).请计算:
(1)反应过程中产生的二氧化碳质量为______g.
(2)该草木灰试样中碳酸钾的质量分数.

查看答案和解析>>

科目: 来源:2012年湖北省黄冈市浠水县中考化学模拟试卷(解析版) 题型:解答题

通过一年的化学学习,你已经掌握了实验室制取气体的一些规律,以下是老师提供的一 些实验装置,请你结合图回答问题:
(1)写出实验室制备二氧化碳的化学方程式______.
(2)选择装置组合来制备和收集氧气______(填字母编号).
(3)加热氯化铵与氢氧化钠的固体混合物制取氨气,应选择的反应发生装置是______.

查看答案和解析>>

科目: 来源:2012年湖北省黄冈市浠水县中考化学模拟试卷(解析版) 题型:解答题

梧州市某中学化学兴趣小组按照课本实验方法(如图甲),做木炭与氧化铜反应实验时,发现很难观察到紫红色铜的生成,却往往有暗红色固体出现.他们决定对这个实验进行探究和改进.
【提出问题】暗红色的固体是什么?如何选择合适的条件,使木炭还原氧化铜的实验现象更明显?
【查阅资料】铜有+1和+2两种化合价,通常情况下,氧的化合价为-2,碳的化合价为+4或-4.
【猜想与假设】
(1)同学们认为这种暗红色固体可能是一种化合物,并猜测它的化学式为______.
(2)同学们还认为,通过改变反应物的状态、质量比,以及反应装置,可以使该实验现象更加明显,减少出现暗红色固体的情况.
【分析与交流】
(1)小吴建议用超细炭粉与氧化铜粉末进行实验.你认为这样建议的原理是______.
(2)小周建议用图乙装置替代甲装置.与甲相比较,乙装置中将试管直立放
置的作用是______.
(3)对下列三种氧化铜和碳的质量比例,小施建议选择______(填选项序号)的比例.
A. 32:3       B. 40:3       C. 48:3
你认为小施这样选择的理由是______.
【实验与结论】
同学们决定按改进后的方案进行实验,他们在检验了乙装置的______后,往试管中加入已干燥的药品并开始加热,当看到澄清的石灰水刚出现浑浊时,______(填“可以”或“不能”)确定氧化铜和炭粉已经开始反应.
不久,即可看到试管底部变红热,停止加热后,仍能看到红热现象,并沿试管底部自下而上蔓延,这个现象说明该反应是______(填“吸”或“放”)热反应.
待反应结束,先将导气管从石灰水中取出,然后关闭止水夹,让产物自然冷却.若不关闭止水夹,可能出现的问题是______.待产物冷却后,同学们终于找到了期待已久的紫红色铜珠,实验获得了圆满成功.

查看答案和解析>>

科目: 来源:2011年广东省韶关四中中考化学三模试卷(解析版) 题型:选择题

下列的水属于纯净物的是( )
A.矿泉水
B.自来水
C.硬水
D.浮有冰的水

查看答案和解析>>

科目: 来源:2011年广东省韶关四中中考化学三模试卷(解析版) 题型:选择题

下列括号中对日常生活的变化判断正确的是( )
A.嘴嚼米饭时有甜味(化学变化)
B.玻璃窗破裂(化学变化)
C.用醋酸清洗热水瓶的水垢(物理变化)
D.纯净物加热后变为混合物(物理变化)

查看答案和解析>>

科目: 来源:2011年广东省韶关四中中考化学三模试卷(解析版) 题型:选择题

物质都是由微粒构成的.下列物质由分子构成的是( )
A.干冰
B.氯化钠
C.金刚石
D.铜

查看答案和解析>>

同步练习册答案