相关习题
 0  82183  82191  82197  82201  82207  82209  82213  82219  82221  82227  82233  82237  82239  82243  82249  82251  82257  82261  82263  82267  82269  82273  82275  82277  82278  82279  82281  82282  82283  82285  82287  82291  82293  82297  82299  82303  82309  82311  82317  82321  82323  82327  82333  82339  82341  82347  82351  82353  82359  82363  82369  82377  211419 

科目: 来源:2012年山东省青岛市胶南市隐珠中学中考化学模拟试卷(二)(解析版) 题型:选择题

在生产服装布料的过程中加入适量甲醛(化学式为CH2O)可使服装达到防皱效果.甲醛是一种无色、有刺激性气味的气体,易溶于水,有毒.服装中残留的甲醛超标会危害人体健康.以下说法中,错误的是( )
A.甲醛属于有机物
B.甲醛是由三种元素组成的混合物
C.若买回的服装中有残留甲醛,可用水洗去
D.若买回的服装中甲醛含量较多,可闻到刺激性气味

查看答案和解析>>

科目: 来源:2012年山东省青岛市胶南市隐珠中学中考化学模拟试卷(二)(解析版) 题型:选择题

通过对溶液知识的学习,判断下列有关说法中正确的是( )
A.将10%的硝酸钾溶液倒出一半,剩余溶液中溶质的质量分数仍为10%
B.热糖水降低温度后有固体析出,则原热糖水一定是饱和溶液?
C.可以用冷却海水的方式得到氯化钠固体?
D.配制溶液时,搅拌可以增大溶质的溶解度?

查看答案和解析>>

科目: 来源:2012年山东省青岛市胶南市隐珠中学中考化学模拟试卷(二)(解析版) 题型:选择题

欲除去下列物质中的少量杂质,所用试剂或方法正确的是( )
物质杂质试剂或方法
ACO2HCl气体NaOH溶液
BNaNO3溶液Na2SO4溶液Ba(OH)2溶液
CCO2CO点燃
DCuOKNO3H2O

A.A
B.B
C.C
D.D

查看答案和解析>>

科目: 来源:2012年山东省青岛市胶南市隐珠中学中考化学模拟试卷(二)(解析版) 题型:选择题

下列四个图象,分别对应四种操作过程,其中正确的是( )

A.向氢氧化钠溶液中加入足量水稀释
B.某温度下,向接近饱和的氯化铵溶液中加入氯化铵晶体
C.向氯化铁和盐酸的混合溶液中加入过量氢氧化钠溶液
D.向两份体积相同、溶质质量分数相同的稀盐酸中,分别加入足量的铁粉和镁粉

查看答案和解析>>

科目: 来源:2012年山东省青岛市胶南市隐珠中学中考化学模拟试卷(二)(解析版) 题型:选择题

在一个密闭容器内有A,B,C,D四种物质,在一定条件下充分反应,测得反应前后各物质的质量如下:下列说法正确的是( )
物质ABCD
反应前质量/g461114
反应后质量/g待测1584

A.密闭容器中发生的化学反应属于分解反应
B.密闭容器中发生的化学反应属于化合反应
C.反应后密闭容器中A的质量为22g
D.该反应中A、B、C、D四种物质的质量比为22:9:111:80

查看答案和解析>>

科目: 来源:2012年山东省青岛市胶南市隐珠中学中考化学模拟试卷(二)(解析版) 题型:解答题

请分别在以下两个表格内,用直线连接相匹配的项目.
(1)食品与其富含营养素的关系
(2 )人体内元素缺乏与可能导致病的关系

查看答案和解析>>

科目: 来源:2012年山东省青岛市胶南市隐珠中学中考化学模拟试卷(二)(解析版) 题型:填空题

阅读下列材料:
材料1:2006年5月27日,央视《焦点访谈》栏日报道了“齐二药假药事件调查”.由于“齐二药”管理混乱,购进了假药,化验员又错误地将“二甘醇”当做“丙二醇”使用,截止到5月22号,该厂生产的“亮菌甲素注射液”已造成9人死亡.
材料2:丙二醇与二甘醇比较:
丙二醇二甘醇
化学式C3H8O2C4H10O3
性质无色、无臭味、有吸水性的粘稠状的液体,微甜,易燃,熔点27℃;适量接触或服用对人体没有伤害无色、有辛辣味、不吸水性的油状固体,易燃,熔点-10.45℃;化学性质与丙二醇相似,但有毒
市场价格医药级:100000元/吨6000元/吨
用途化工原料和医药辅料,可作为溶剂、保湿剂使用,在美容品中常可见到化工原料,主要作为工业溶剂,防冻剂
结合上述材料,回答下列问题:
(1)从元素组成和物质分类的角度看,丙二醇和二甘醇的相同点是   
(2)根据材料2中的信息,作为一名检验员,你认为如何初步识别丙二醇和二甘醇?
   
(3)上面的事实说明,化学物质可以造福人类,但使用不当也会给人类带来危害.
针对齐二药假药事件,你认为采取哪些措施可以避免类似悲剧的再次发生?
   

查看答案和解析>>

科目: 来源:2012年山东省青岛市胶南市隐珠中学中考化学模拟试卷(二)(解析版) 题型:解答题

如图甲是A、B、C三种固体物质的溶解度曲线图.

(1)甲图中,t2℃时,A、B、C三种物质中,溶解度最大的是______.P点所表示的含义为______.
(2)t℃时,将B物质的不饱和溶液转变成饱和溶液可采取的方法有______.
(3)如乙图所示,20℃时,把试管放入盛有X的饱和溶液的烧杯中,在试管中加入几小段镁条,再加入5mL稀盐酸,立即产生大量的气泡,同时烧杯中出现浑浊,则X可能为A、B、C三种固体物质中的哪一种?______.写出镁条与稀盐酸反应的方程式:______.

查看答案和解析>>

科目: 来源:2012年山东省青岛市胶南市隐珠中学中考化学模拟试卷(二)(解析版) 题型:填空题

向某无色溶液A中加入BaCl2溶液,产生白色沉淀.甲同学认为A可能是Na2CO3溶液,因为Na2CO3溶液能与BaCl2溶液反应产生BaCO3沉淀.而乙同学认为A可能是一种硝酸盐溶液,丙同学认为A可能是一种酸溶液.请你将乙、丙两同学的结论及理由填在下表中:
A中溶质的化学式判断理由(用化学方程式表示)
Na2CO3Na2CO3+BaCl2=2NaCl+BaCO3
       
       

查看答案和解析>>

科目: 来源:2012年山东省青岛市胶南市隐珠中学中考化学模拟试卷(二)(解析版) 题型:填空题

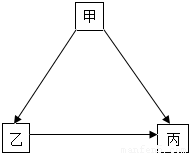
甲、乙、丙是初中化学中常见的物质,其转化关系如右图所示:
(1)若甲、乙组成元素相同,甲、乙、丙中有一种物质为水,则甲为(填化学式)    ,实验室制丙的化学方程式为:    (写出一种).
(2)若甲、乙、丙都含有三种元素,甲、乙、丙的相对分子质量依次增大,其中一种物质广泛用于玻璃、造纸、纺织和洗涤剂的生产.由甲到乙反应的化学方程式为    ;乙也可以转化为甲,其反应的化学方程式为   
(3)若甲、乙、丙都含有三种元素,其中两种元素的质量比均为1:2,图示反应中,一个有难溶物生成,另一个有气体生成,第三个有难溶物和水生成,则生成的气体可能为(填化学式)    ,由甲到丙反应的化学方程式为   

查看答案和解析>>

同步练习册答案