相关习题
 0  82201  82209  82215  82219  82225  82227  82231  82237  82239  82245  82251  82255  82257  82261  82267  82269  82275  82279  82281  82285  82287  82291  82293  82295  82296  82297  82299  82300  82301  82303  82305  82309  82311  82315  82317  82321  82327  82329  82335  82339  82341  82345  82351  82357  82359  82365  82369  82371  82377  82381  82387  82395  211419 

科目: 来源:2012年浙江省台州市临海市中考化学模拟试卷(解析版) 题型:解答题

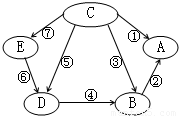
A、B、C、D、E是初中化学中常见的五种物质,它们都含有一种相同的元素,如图表示各物质之间的转化关系.其中,A为食盐的主要成分,B中含钡元素,D为有颜色溶液,E为蓝色溶液,其它物质的溶液都为无色;⑤和⑥为置换反应,其它均为复分解反应.
(1)写出下列物质的化学式:A______;C______.
(2)反应②的现象为______.
(3)反应⑤的化学方程式为______.
(4)反应⑦的化学方程式为______.

查看答案和解析>>

科目: 来源:2012年浙江省台州市临海市中考化学模拟试卷(解析版) 题型:解答题

某化学兴趣小组同学在实验室里收集了一些溶质为FeSO4和CuSO4的废液,想从中回收金属铜和硫酸亚铁溶液,设计了如下方案:

(1)步骤Ⅰ中有关反应的化学方程式是______.
(2)步骤Ⅱ中所加试剂Y的名称为______.
(3)加入过量X的目的是______.
(4)步骤Ⅰ和Ⅱ中都有过滤操作,所需要的玻璃仪器有______、______和______.
(5)步骤Ⅱ中经过过滤、洗涤、干燥可以得到纯净的金属铜,洗涤时检验金属铜是否已洗净的方法是______.

查看答案和解析>>

科目: 来源:2012年浙江省台州市临海市中考化学模拟试卷(解析版) 题型:解答题

如图是某兴趣学习小组设计的几种装置,请你分析并回答下列问题:
(1)图中标号仪器的名称为:a______,b______.
(2)装置A可用作实验室制取O2或CO2的发生装置,用此装置制取O2的化学方程式是______△2H2O+O2

查看答案和解析>>

科目: 来源:2012年浙江省台州市临海市中考化学模拟试卷(解析版) 题型:解答题

铁矿石冶炼成铁是一个复杂的过程,把铁矿石和焦炭、石灰石一起加入高炉,在高温下,利用焦炭与氧气反应生成的一氧化碳把铁从铁矿石里还原出来.一氧化碳还原氧化铁的化学方程式为______ 2Fe+3CO2

查看答案和解析>>

科目: 来源:2012年浙江省台州市临海市中考化学模拟试卷(解析版) 题型:解答题

媒体近日报道:市面上部分方便面遭到塑化剂污染,长期接触塑化剂可引起血液系统、生殖系统损害,其中,塑化剂(DMP)分子式为C10H10O4.求:
(1)DMP的相对分子质量为______;
(2)DMP分子中C、H、O 三种元素的质量比为______;
(3)DMP分子中氧元素的质量分数为(结果精确到0.01)______.

查看答案和解析>>

科目: 来源:2012年浙江省台州市临海市中考化学模拟试卷(解析版) 题型:解答题

实验室有一瓶未知浓度的BaCl2溶液,某同学取出150g该溶液于烧杯中,向其中逐滴加入溶质质量分数为26.5%的Na2CO3溶液.反应过程中生成沉淀的质量与所用Na2CO3溶液质量的关系如图甲所示.请计算:
(1)配制26.5%的Na2CO3溶液80g,需要Na2CO3固体______g.
(2)BaCl2溶液的溶质质量分数是多少?(写出计算过程,结果保留到0.1%)

查看答案和解析>>

科目: 来源:2012年山东省淄博市恒台县中考化学一模试卷(解析版) 题型:选择题

下列仪器中,具有溶解固体,配制溶液,加热较多试剂三种用途的是( )
A.试管
B.烧瓶
C.蒸发皿
D.烧杯

查看答案和解析>>

科目: 来源:2012年山东省淄博市恒台县中考化学一模试卷(解析版) 题型:选择题

下列实验基本操作错误的是( )
A.
蒸发
B.
稀释浓硫酸
C.
点燃酒精灯
D.
检查装置气密性

查看答案和解析>>

科目: 来源:2012年山东省淄博市恒台县中考化学一模试卷(解析版) 题型:选择题

某地块庄稼生长缓慢,经分析发现需要施加氮肥.假如是施加尿素[化学式CO(NH22],若需要增加氮元素210Kg,则需要施加尿素( )
A.106Kg
B.450Kg
C.24.5Kg
D.98Kg

查看答案和解析>>

科目: 来源:2012年山东省淄博市恒台县中考化学一模试卷(解析版) 题型:选择题

“嫦娥 I号”卫星运载火箭的动力由高氯酸铵(NH4ClO4)分解提供,高氯酸铵分解过程中不可能排入大气的物质是( )
A.H2O
B.SO2
C.NO
D.N2[来源:.Com]

查看答案和解析>>

同步练习册答案