相关习题
 0  82281  82289  82295  82299  82305  82307  82311  82317  82319  82325  82331  82335  82337  82341  82347  82349  82355  82359  82361  82365  82367  82371  82373  82375  82376  82377  82379  82380  82381  82383  82385  82389  82391  82395  82397  82401  82407  82409  82415  82419  82421  82425  82431  82437  82439  82445  82449  82451  82457  82461  82467  82475  211419 

科目: 来源:2012年四川省乐山市中考化学三模试卷(解析版) 题型:填空题

从C、H、O、N、S、P、Na、Fe、Ba等9种元素中选择恰当的元素,用离子符号、化学式或化学方程式按下列要求填空:
(1)硫酸钠中的阴离子    ;能使木材、纸张变黑的酸    ;溶于水后显碱性的气体    ;一个分解反应   

查看答案和解析>>

科目: 来源:2012年四川省乐山市中考化学三模试卷(解析版) 题型:填空题

在金属活动性顺序里,金属的位置越靠前,它的活动性就越强,在化学反应中越容易失去电子.
(1)Ca、Mg、K三种金属活动性由强到弱的顺序是   
(2)Ca、Mg、K三种金属的原子结构示意图如图所示,请根据这三种金属的原子结构示意图,并结合已学过的有关原子结构的知识推测,金属单质失去电子能力的强弱主要与    有关.

(3)能证明Cu的金属活动性比Ag强的方法是    (用化学方程式表示).

查看答案和解析>>

科目: 来源:2012年四川省乐山市中考化学三模试卷(解析版) 题型:填空题

如图为A、B、C三种物质的溶解度曲线.读图后请回答:
(1)在    ℃时,A、B两物质的溶解度相等;
(2)现把相同质量的A、B、C饱和溶液从t2℃降至t1℃时析出晶体最多的是    ,到达t1℃时,A、B、C三种溶液中溶质质量分数由大到小的顺序依次为   

查看答案和解析>>

科目: 来源:2012年四川省乐山市中考化学三模试卷(解析版) 题型:解答题

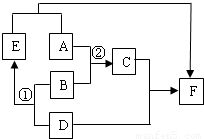
8、A、D均为黑色固体(D为常见金属),B为胃酸的主要成分,
C为蓝色溶液,D、E、F均为单质.如图为这些物质的转化关系,其中部分反应物、生成物、反应条件已省略.
(1)请写出下列物质的化学式:E______,F______.
(2)反应①除了生成E,另一生成物的化学式为______,该反应的基本类型是______.
(3)写出反应②的化学方程式______.

查看答案和解析>>

科目: 来源:2012年四川省乐山市中考化学三模试卷(解析版) 题型:解答题

以下是我们熟悉的实验室制取气体的发生装置、收集装置以及净化装置(装置⑦中碱石灰为固体氢氧化钠和氧化钙的混合物).请根据装置图回答下列问题:

(1)将装置①中的固体加热时应先______;若用装置⑥净化气体,则气体应从______端通入(填“a”或“b”).
(2)实验室用过氧化氢溶液和二氧化锰制氧气,应选用的发生装置为______、收集装置为______(填装置的编号),过氧化氢溶液应从______中加入(填仪器名称),其中二氧化锰起______作用.
(3)实验室常用加热氯化铵与氢氧化钙固体混合物的方法制取氨气.通常情况下,氨气的密度比空气小且极易溶于水.若要制得干燥的氨气,则装置的连接顺序为______(填装置的编号)

查看答案和解析>>

科目: 来源:2012年四川省乐山市中考化学三模试卷(解析版) 题型:解答题

实验室有半瓶久置的氢氧化钙粉末.某课外活动小组决定对这瓶氢氧化钙粉末的组成进行实验探究.
(1)提出问题:这瓶氢氧化钙是否已经变质,生成碳酸钙.
(2)进行假设、猜想:猜想①氢氧化钙已全部变为碳酸钙; 猜想②氢氧化钙部分变为碳酸钙; 猜想③氢氧化钙没有变质.
(3)设计方案并进行实验:请你选择上述猜想中的任意一种参与探究,并填写下表:
实验步骤实验现象实验结论
取样品粉末,加适量的水,充分搅拌、过滤①取滤液于试管中,滴入酚酞
②取少量滤渣(或氢氧化钙样品)于试管中,加入盐酸
①______

②______
①______

②______
(4)反思与评价:根据你的实验现象和结论,你认为该瓶氢氧化钙______(选填“全部”或“部分”或“没有”)变质.
(5)联想与启示:氢氧化钙变质是由于Ca(OH)2与空气中______(填化学式)发生反应的缘故.因此实验室氢氧化钙应______保存,农业生产中可用氢氧化钙改良______性土壤(选填“酸”或“碱”).

查看答案和解析>>

科目: 来源:2012年四川省乐山市中考化学三模试卷(解析版) 题型:解答题

将24.1g由NaCl和BaCl2组成的固体混合物溶解于99.2mL水 中(P=1g/cm3),向所得溶液中滴加质量分数为14.2%的Na2SO4溶液,至恰好完全反应.如图是所加Na2SO4溶液质量与生成沉淀质量的关系图,计算:
(1)生成沉淀的质量是多少?
(2)反应后所得溶液中溶质的质量分数为多少?

查看答案和解析>>

科目: 来源:2008年安徽省淮北市西园中学中考化学二模试卷(解析版) 题型:选择题

下列变化不属于化学变化的是( )
A.
用洗涤剂洗餐具
B.
向棉布上滴浓硫酸
C.
钟乳石的形成
D.
向酸性土壤中加熟石灰

查看答案和解析>>

科目: 来源:2008年安徽省淮北市西园中学中考化学二模试卷(解析版) 题型:选择题

下列各类食物中含有丰富蛋白质的是( )
A.
鸡蛋
B.
苹果
C.
白菜
D.
面条

查看答案和解析>>

科目: 来源:2008年安徽省淮北市西园中学中考化学二模试卷(解析版) 题型:选择题

中国环境标志是( )
A.
B.
C.
D.

查看答案和解析>>

同步练习册答案