相关习题
 0  82594  82602  82608  82612  82618  82620  82624  82630  82632  82638  82644  82648  82650  82654  82660  82662  82668  82672  82674  82678  82680  82684  82686  82688  82689  82690  82692  82693  82694  82696  82698  82702  82704  82708  82710  82714  82720  82722  82728  82732  82734  82738  82744  82750  82752  82758  82762  82764  82770  82774  82780  82788  211419 

科目: 来源:2008年北京市平谷区中考化学一模试卷(解析版) 题型:填空题

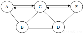
A、B、C、D、E都是初中化学常见的五种物质,已知它们满足如图所示的相互反应、转化关系(“-”表示相连的两种物质间能反应,“→或←”表示相连的两种物质间的转化关系).
(1)试推断A、C、E各是什么物质,写出它们的化学式
A:    ,C:    ,E:   
(2)“C→E”的化学方程式为    ,该反应属于基本反应类型中的    反应.

查看答案和解析>>

科目: 来源:2008年北京市平谷区中考化学一模试卷(解析版) 题型:解答题

如图是李华同学设计的分解过氧化氢制取并收集氧气的装置图(①为分液漏斗,活塞可随时开关以控制液体滴加速度).请回答下列问题:
(1)仪器②的名称是______;
(2)MnO2的作用是______;实验后回收MnO2的方法是______;用化学方程式表示另外一种制取氧气的常用方法:______△2KCl+3O2

查看答案和解析>>

科目: 来源:2008年北京市平谷区中考化学一模试卷(解析版) 题型:解答题

图甲和图乙所示实验方法均可用来探究可燃物燃烧的条件.

(1)某同学用图甲所示装置进行实验,观察到的现象是______.
(2)另一同学用图乙所示装置进行实验,得到以下实验事实:
①不通空气时,冷水中的白磷不燃烧;②通空气时,冷水中的白磷不燃烧;
③不通空气时,热水中的白磷不燃烧;④通空气时,热水中的白磷燃烧.
该实验中,能证明可燃物通常需要接触空气才能燃烧的实验事实是(填序号)______;能证明可燃物必须达到一定温度(着火点)才能燃烧的实验事实是(填序号)______.
(3)“化学实验绿色化”要求实验室的“三废”排放的安全性要得到提升,师生环保意识得到强化.图甲与图乙所示的实验相比,______(填“图甲”或“图乙”)更体现了化学实验的绿色化追求.

查看答案和解析>>

科目: 来源:2008年北京市平谷区中考化学一模试卷(解析版) 题型:解答题

小明同学在家里发现妈妈在和面时加入了某白色固体,然后就蒸出了膨松可口的馒头.他感到非常好奇,就从家里取了一些该白色固体,向化学张老师请教,张老师说:“既然用于蒸馒头,那么它不是碳酸钠就是碳酸氢钠”.于是,小明和小红一起进行了如下探究活动.
[查阅资料]Na2CO3加热时难分解,NaHCO3加热时易分解,反应为2NaHCO3Na2CO3+CO2↑+H2O.并查阅了相关物质的溶解性如下表:
Cl-NO3-CO32-HCO3-
Na+
Ca2+不溶
[猜想]猜想①:该白色固体是碳酸钠;
猜想②:该白色固体是碳酸氢钠;
猜想③:该白色固体是碳酸钠和碳酸氢钠的混合物.
[实验验证]小明同学设计了如下实验方案并进行实验验证:
实验步骤实验现象结论
实验1:取少量该白色固体于试管中加热,并将产生的气体通入澄清石灰水中.澄清石灰水______.证明原白色固体中含有碳酸氢钠.
实验2:取实验1中剩余固体于另一支试管中,加入少量稀盐酸并通入澄清石灰水中.有气泡产生,澄清石灰水变浑浊.证明原白色固体中还含有碳酸钠
根据上述实验,小明得出结论猜想③正确.
小红同学提出了质疑,认为小明同学设计的实验方案不合理,理由是______.
小明和小红经过思考讨论后,又重新设计了如下实验方案:

(1)由上述实验得出猜想______正确.
(2)试剂b是______.
(3)步骤①加过量的试剂a的目的是______,有关反应的化学方程式为______,无色滤液B中的溶质是______.
[反思与应用]小明的妈妈用该白色固体能蒸出膨松可口馒头的原理是______.

查看答案和解析>>

科目: 来源:2008年北京市平谷区中考化学一模试卷(解析版) 题型:解答题

生石灰干燥剂广泛用于食品、服装、电器等行业,其吸水能力通过化学反应:CaO+H2O=Ca(OH)2实现.5.6g生石灰通过该反应能够吸收水的质量是多少?(请写出计算过程)

查看答案和解析>>

科目: 来源:2008年北京市平谷区中考化学一模试卷(解析版) 题型:解答题

水是宝贵的资源,防止水污染的根本措施是消除污染源.已知某化工厂工业废水中含有硫酸.科技人员设计了边排放边中和硫酸的工艺来处理该工厂的废水,方案如下:
请你通过计算说明:要使该工厂废水达到排放要求,NaOH溶液的流量应为多少?
(计算结果精确到0.1)(相对原子质量:H-1  Na-23  S-32  O-16)

查看答案和解析>>

科目: 来源:2008年四川省绵阳市三台县富顺中学化学测试卷(二)(解析版) 题型:选择题

人类生存需要清洁的空气.下列情况不会造成环境污染的是( )
A.燃放烟花
B.汽车尾气
C.煤炭燃烧
D.光合作用

查看答案和解析>>

科目: 来源:2008年四川省绵阳市三台县富顺中学化学测试卷(二)(解析版) 题型:选择题

下列变化中,属于化学变化的是( )
A.铁锅生锈
B.电灯发光发热
C.分离液态空气
D.冰川融化成水

查看答案和解析>>

科目: 来源:2008年四川省绵阳市三台县富顺中学化学测试卷(二)(解析版) 题型:选择题

将带火星的木条伸入一集气瓶中,木条剧烈燃烧,则该气体是( )
A.氮气
B.空气
C.二氧化碳
D.氧气

查看答案和解析>>

科目: 来源:2008年四川省绵阳市三台县富顺中学化学测试卷(二)(解析版) 题型:选择题

用来判断镁在氧气中燃烧是化学变化的依据的是( )
A.放出大量的热
B.发出耀眼的白光
C.镁条变短
D.生成白色固体

查看答案和解析>>

同步练习册答案