相关习题
0 82988 82996 83002 83006 83012 83014 83018 83024 83026 83032 83038 83042 83044 83048 83054 83056 83062 83066 83068 83072 83074 83078 83080 83082 83083 83084 83086 83087 83088 83090 83092 83096 83098 83102 83104 83108 83114 83116 83122 83126 83128 83132 83138 83144 83146 83152 83156 83158 83164 83168 83174 83182 211419
科目:
来源:2012年天津市塘沽区中考化学二模试卷(解析版)
题型:解答题
水是宝贵的自然资源,对于人类生活、工农业生产都具有重要意义.
(1)保持水的化学性质的微粒是______(填名称).
(2)硬水给生活和生产带来很多麻烦,生活中可用______来区分硬水和软水.
(3)能够证明水由氢元素和氧元素组成的实验是______ 2H2↑+O2↑
查看答案和解析>>
科目:
来源:2012年天津市塘沽区中考化学二模试卷(解析版)
题型:填空题
质量守恒定律对科学发展具有重大意义.
(1)由质量守恒定律可知,化学反应前后一定不变的是
(填序号).
①原子种类 ②原子数目 ③分子种类 ④分子数目
⑤元素种类 ⑥物质种类
(2)如图是某反应的微观示意图(其中“

”和“

”分别表示不同的原子)
①反应后方框内应再填入
个“

”微粒.
②请从微观的角度分析化学变化的实质是
.
(3)在一密闭容器内有4种物质A、B、C、D,它们在一定条件下发生化学反应.其中A、B、C的微观示意图和反应前后各物质的质量如下表所示.
| 物质 | A | B | C | D |  |
微观示意图 |  |  |  | |
| 反应前质量/g | 100 | 1 | 1 | 46 |
| 反应后质量/g | 4 | 89 | 55 | X |
①x的值为
.
②若D的相对分子质量为46,该反应的化学方程式是
.

查看答案和解析>>
科目:
来源:2012年天津市塘沽区中考化学二模试卷(解析版)
题型:解答题
按要求写出下列反应的化学方程式.
(1)铁丝在氧气中燃烧:______ Fe3O4
查看答案和解析>>
科目:
来源:2012年天津市塘沽区中考化学二模试卷(解析版)
题型:解答题
自2011年天津市滨海新区百万吨乙烯项目正常生产至今,累计实现各类主要产品产量498.94万吨,龙头带动作用显现.聚氯乙烯是以氯乙烯为原料生产的一种重要的有机合成材料.生成氯乙烯的反应为:C
2H
2+HCl

C
2H
3Cl.在基本反应类型中,该反应属于______反应.
查看答案和解析>>
科目:
来源:2012年天津市塘沽区中考化学二模试卷(解析版)
题型:解答题
在大自然中,CO
2与O
2能相互转换,以保持空气成分相对稳定.
(1)空气中氧气的体积分数约为______;大气中二氧化碳含量增多会导致______效应.
(2)植物通过光合作用,可将二氧化碳转化为氧气,光合作用的化学方程式为:6CO
2+6X

C
6H
12O
6+6O
2,则X的化学式为______.
查看答案和解析>>
科目:
来源:2012年天津市塘沽区中考化学二模试卷(解析版)
题型:解答题
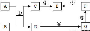
A~G是初中化学常见的7种物质,它们在一定条件下转化关系如图所示(部分反应物或生成物已略去).请针对以下两种情况回答问题.

(1)若C、G都能与同一物质反应,其中生成的E为单质、F为化合物,则E、F的化学式分别为______、______.
(2)若②③为同一反应,④为化合反应.A~G均为化合物且B、C、D由两种元素组成,则E、F的化学式分别为______、______.
查看答案和解析>>
科目:
来源:2012年天津市塘沽区中考化学二模试卷(解析版)
题型:解答题
实验室拟用下列装置来制取气体:

(1)写出有标号仪器的名称:①______,②______.
(2)利用注射器可以检查装置B的气密性.如右图所示,在锥形瓶内装适量的水,使长颈漏斗末端浸没在液面以下,将活塞缓慢往外拉,若观察到______,则装置不漏气.
(3)用高锰酸钾制氧气,反应的化学方程式为 ______ K
2MnO
4+MnO
2+O
2↑

查看答案和解析>>
科目:
来源:2012年天津市塘沽区中考化学二模试卷(解析版)
题型:解答题
碳是形成化合物种类最多的元素,含碳物质是中学化学研究的重要内容.
(1)碳元素的化学性质与其原子的______关系密切.
(2)右图为元素周期表中的一格,下列说法错误的是______(填字母).
A.碳元素属于非金属元素
B.碳原子核内质子数为6
C.碳元素的原子结构示意图为

D.碳的相对原子质量为12.01g
(3)一氧化碳燃烧时火焰呈______色,该反应的化学方程式为______ 2CO
2
查看答案和解析>>
科目:
来源:2012年天津市塘沽区中考化学二模试卷(解析版)
题型:解答题
白磷、红磷都是可燃物,都可以在一定条件下燃烧.以下是利用它们的可燃性进行的三个实验,请分别回答问题.

(1)通过实验1可以探究燃烧的条件.烧杯中放有热水,a、b、c处分别放有药,冷却后打开弹簧夹,当观察到______的现象时,可品,实验中只有a处的白磷燃烧.a与c对比;a与b对比,说明燃烧需要的条件是可燃物与氧气接触和______,白磷燃烧的化学方程式为______ 2P
2O
5
查看答案和解析>>
科目:
来源:2012年天津市塘沽区中考化学二模试卷(解析版)
题型:解答题
某藻类的化学式为CxHyO110N16P
(1)该藻类中氮、氧元素的质量比为______;
(2)已知该藻类相对分子质量为3550,现有1675g该物质,则其中磷元素的质量为______,若该藻类中碳元素的质量分数为35.8%.则化学式中x的近似值等于______.
查看答案和解析>>