相关习题
 0  82997  83005  83011  83015  83021  83023  83027  83033  83035  83041  83047  83051  83053  83057  83063  83065  83071  83075  83077  83081  83083  83087  83089  83091  83092  83093  83095  83096  83097  83099  83101  83105  83107  83111  83113  83117  83123  83125  83131  83135  83137  83141  83147  83153  83155  83161  83165  83167  83173  83177  83183  83191  211419 

科目: 来源:2012年江苏省南通市崇川区中考化学模拟试卷(一)(解析版) 题型:选择题

甲、乙两物质的溶解度曲线如图所示.下列叙述中,正确的是( )
A.t1℃时,甲和乙的饱和溶液的质量分数均是30%
B.t2℃时,甲和乙的饱和溶液中溶质质量分数相等
C.从0℃至t1℃时,甲物质的溶解度大于乙物质的溶解度
D.t2℃时,分别在100g水中各溶解20g甲、乙,同时降低温度,甲先达到饱和

查看答案和解析>>

科目: 来源:2012年江苏省南通市崇川区中考化学模拟试卷(一)(解析版) 题型:选择题

今年世界各国频发地震.为防止震后疾病传染须对饮用水源进行处理,采取的措施有①煮沸  ②消毒  ③过滤  ④自然沉降,合理处理的顺序是( )
A.③①②④
B.②④③①
C.④③①②
D.④③②①

查看答案和解析>>

科目: 来源:2012年江苏省南通市崇川区中考化学模拟试卷(一)(解析版) 题型:选择题

小明同学对所学部分化学知识归纳如下,其中完全正确 的一组是( )
A物质的分类B物质鉴别
①合成橡胶、合金都属于合成材料
②氧化物中含有氧元素
③混合物中一定含有多种元素
①硬水和软水--肥皂水
②羊毛线与棉线一一灼烧
③食盐与亚硝酸钠一一品尝
C“低碳经济”的措施D用“化学”眼光分析
①改造或淘汰高能耗、高污染产业
 ②研制和开发新能源替代传统能源
 ③减少使用一次性塑料方便袋
①洗涤剂去油污是因为起乳化作用
②湿衣服晾干是因为分子之间有间隔
③明矾净水是因为明矾溶于水生成胶状物

A.A
B.B
C.C
D.D

查看答案和解析>>

科目: 来源:2012年江苏省南通市崇川区中考化学模拟试卷(一)(解析版) 题型:选择题

根据右表判断,下列说法正确的是( )
第一周期1      H
 
第二周期3      Li
4    Be
5     B
  
第三周期11     Na
12    Mg
13      Al

A.铝的相对原子质量是13
B.钠离子核外有三个电子层
C.第二、三周期元素的原子从左至右最外层电子数逐渐增多
D.在化学变化中镁元素容易失去最外层2个电子形成镁离子

查看答案和解析>>

科目: 来源:2012年江苏省南通市崇川区中考化学模拟试卷(一)(解析版) 题型:选择题

下列每组对比实验不能达到实验目的是( )
选项实验设计实验目的
实验一实验二
A将带火星的木条伸入装有5mL5%的过氧化氢溶液的试管中将带火星的木条伸入装有少量红砖粉和5mL5%的过氧化氢溶液的试管中催化剂对化学反应速率的影响
B将铁钉放入干燥的试管中并将试管口密封将铁钉放入装有水的试管中,使铁钉一半被水淹没铁生锈是水和氧气共同作用的结果
C将铁丝放入2mL10%的硫酸铜溶液中将银丝放入2mL10%的硫酸铜溶液中探究铁、铜、银三种金属的活动性顺序
D将植物嫩叶浸泡在10mL蒸馏水中取10mL蒸馏水,通入过量二氧化硫气体,再将植物嫩叶浸泡其中酸雨危害的模拟实验

A.A
B.B
C.C
D.D

查看答案和解析>>

科目: 来源:2012年江苏省南通市崇川区中考化学模拟试卷(一)(解析版) 题型:选择题

电子工业制作电路板的过程中,用FeCl3溶液来溶解电路板中多余的铜,反应如下:2FeCl3+Cu═2FeCl2+CuCl2.FeCl3溶液也可跟铁发生反应:2FeCl3+Fe═3FeCl2.现向FeCl3溶液中加入一定量的铁粉和铜粉,充分反应后,发现有固体剩余.下面有关说法不正确的是( )
A.向剩余的固体加入稀盐酸,若无气体放出,说明反应后的溶液中没有Cu2+
B.若剩余固体是铜与铁的混合物,则说明反应后的溶液中只有Fe2+
C.剩余固体可能只含有铜
D.剩余固体中如果有铁,一定也有铜

查看答案和解析>>

科目: 来源:2012年江苏省南通市崇川区中考化学模拟试卷(一)(解析版) 题型:解答题

(1)用化学用语(化学符号)表示:①碳酸根离子______;
②氧化铝中铝的化合价______.
(2)写出下列符号的意义:①2Fe2+______;②5S______.
(3)化学就在我们身边,它能改善我们的生活.请从“a.小苏打  b.氮气  c.熟石灰  d.干冰  e.食盐”中选择适当的物质填空(填序号):
①可用作调味品的是______;②要使舞台上出现烟雾缭绕的景象可用______;
③可用作改良酸性土壤的物质是______;
④焙制糕点所用的发酵粉的主要成分之一的是______.

查看答案和解析>>

科目: 来源:2012年江苏省南通市崇川区中考化学模拟试卷(一)(解析版) 题型:解答题

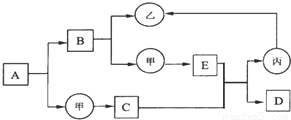
如图是初中化学中常见物质间的转化关系,其中甲、乙、丙为单质;A、B、C、D、E为化合物,且A与B的组成元素相同,D与E的组成元素也相同.已知C、丙均为黑色粉末,C和E在高温条件下可生成丙和D,D能使澄清的石灰水变浑浊.其余反应条件、部分反应物和生成物均已略去.
试推断:
(1)写出A物质的化学式______;
(2)写出下列化学方程式:
B→甲+乙:______ 2H2↑+O2

查看答案和解析>>

科目: 来源:2012年江苏省南通市崇川区中考化学模拟试卷(一)(解析版) 题型:解答题


请根据下列装置,回答问题:
(1)写出标号仪器的名称:①______,②______.(2)实验室用装置A制取O2,反应的化学方程式为______△2KCl+3O2

查看答案和解析>>

科目: 来源:2012年江苏省南通市崇川区中考化学模拟试卷(一)(解析版) 题型:解答题

在化学课上,甲同学将燃烧的钠迅速伸入到盛有CO2的集气瓶中,钠在其中
继续燃烧,反应后冷却,瓶底附着黑色颗粒,瓶壁上粘附着白色物质.
【提出问题】黑色颗粒和白色物质是什么?
【进行猜想】甲认为黑色颗粒是______,白色物质可能是Na2O或Na2CO3或______,乙同学还认为白色物质是氢氧化钠.
甲同学立刻认为乙同学的猜想是错误的,其理由是______
【查阅资料】氧化钠为白色粉末,溶于水生成氢氧化钠:Na2O+H2O═2NaOH
【实验探究】甲同学对白色物质进行实验探究.
实验方案实验操作实验现象结论
方案1取样品少量于试管中,加入适量水,振荡,样品全部溶于水,向其中加入无色酚酞试液溶液变成红色白色物质
为Na2O
方案2①取样品少量于试管中,加入适量水,振荡,样品全部溶于水,向其中加入过量的CaCl2溶液出现白色沉淀白色物质
是______.
②静置片刻,取上层清液于试管中,滴加无色酚酞试液无明显现象
【反思评价】丙同学认为方案1得到的结论不正确,其理由是______;你认为方案2的实验操作②中,除滴加指示剂外,还可用______溶液来代替.
【得出结论】钠在二氧化碳中燃烧的化学方程式为______ 2Na2CO3+C

查看答案和解析>>

同步练习册答案