相关习题
0 83048 83056 83062 83066 83072 83074 83078 83084 83086 83092 83098 83102 83104 83108 83114 83116 83122 83126 83128 83132 83134 83138 83140 83142 83143 83144 83146 83147 83148 83150 83152 83156 83158 83162 83164 83168 83174 83176 83182 83186 83188 83192 83198 83204 83206 83212 83216 83218 83224 83228 83234 83242 211419
科目:
来源:2008年黑龙江省双鸭山市宝清县建平学校中考化学模拟试卷(一)(解析版)
题型:选择题
下列都是生活中常见的物质,由物质分类知识可知,属于同一类物质的一组是( )
A.红磷、医用酒精、甲烷
B.加碘盐、纯碱、石灰水
C.食醋、氧气、酱油
D.海水、糖水、雨水
查看答案和解析>>
科目:
来源:2008年黑龙江省双鸭山市宝清县建平学校中考化学模拟试卷(一)(解析版)
题型:选择题
化学实验过程中,万一发生事故,要冷静地处理,下列做法不正确的是( )
A.不慎将白磷洒落在桌面上,立即扫入垃圾桶中
B.不慎将浓硫酸沾到皮肤上,立刻用大量水冲洗,再涂上3%-5%的碳酸氢钠溶液
C.不慎将酒精灯碰倒,洒出的酒精在桌上燃烧起来,立刻用湿布扑灭
D.不慎将氢氧化钠溶液沾到皮肤上,立即用大量水冲洗,再涂上硼酸溶液
查看答案和解析>>
科目:
来源:2008年黑龙江省双鸭山市宝清县建平学校中考化学模拟试卷(一)(解析版)
题型:选择题
化学学科的思维方法有多种,其中推理是常用的思维方法.以下推理正确的是( )
A.有机物完全燃烧时都产生二氧化碳,所以有机物中一定含有碳元素
B.中和反应生成盐和水,所以生成盐和水的反应一定是中和反应
C.燃烧一般都伴随发光、发热现象,所以有发光、发热现象的就是燃烧
D.氧化物中都含有氧元素,所以含氧元素的化合物一定是氧化物
查看答案和解析>>
科目:
来源:2008年黑龙江省双鸭山市宝清县建平学校中考化学模拟试卷(一)(解析版)
题型:选择题
实验室制备并收集二氧化碳,通常有以下操作步骤:①检验装置的气密性;②连接装置;③装入大理石;④加入稀盐酸;⑤收集气体;⑥验满.排列顺序正确的是( )
A.①②③④⑤⑤
B.②①④③⑤⑥
C.②①③④⑤⑥
D.②③④①⑤⑥
查看答案和解析>>
科目:
来源:2008年黑龙江省双鸭山市宝清县建平学校中考化学模拟试卷(一)(解析版)
题型:选择题
胶南市海青等地盛产茶叶,享誉海内外.绿茶中的单宁酸具有抑制血压上升、清热解毒、抗癌等功效,其化学式为C76H52O46,下列关于单宁酸的说法不正确的是( )
A.由碳氢氧三种元素组成
B.一个分子含76个碳原子
C.碳氢氧原子个数比为76:52:46
D.一个分子中含23个氧分子
查看答案和解析>>
科目:
来源:2008年黑龙江省双鸭山市宝清县建平学校中考化学模拟试卷(一)(解析版)
题型:选择题
如图,海水淡化可采用膜分离技术,对淡化膜右侧的海水加压,水分子可以透过淡化膜进入左侧淡水池,而海水中的各离子不能通过淡化膜,从而得到淡水.对加压后右侧海水成分变化进行分析,正确的是( )

A.溶质质量增加
B.溶剂质量减少
C.溶液质量不变
D.溶质质量分数减少
查看答案和解析>>
科目:
来源:2008年黑龙江省双鸭山市宝清县建平学校中考化学模拟试卷(一)(解析版)
题型:填空题
用化学符号和化学式表示:
3个铁原子
硫酸铁
1个亚铁离子
氧化铁 .
查看答案和解析>>
科目:
来源:2008年黑龙江省双鸭山市宝清县建平学校中考化学模拟试卷(一)(解析版)
题型:解答题
某元素原子结构示意图为

;则x=______.根据元素原子结构示意图,不能直接获得的信息是______(填编号).
①核电荷数 ②相对原子质量 ③电子层数 ④最外层电子数 ⑤元素的部分化学性质.
查看答案和解析>>
科目:
来源:2008年黑龙江省双鸭山市宝清县建平学校中考化学模拟试卷(一)(解析版)
题型:填空题
软水、硬水、白醋、酒精都是常见的无色液体,它们的外观非常相似,其中:
(1)pH小于7的是 ;
(2)具有特殊香味的是 ;
(3)区别硬水和软水,可加入的试剂是 ;
(4)生活中将硬水转化为软水,最常用的方法是 .
查看答案和解析>>
科目:
来源:2008年黑龙江省双鸭山市宝清县建平学校中考化学模拟试卷(一)(解析版)
题型:填空题
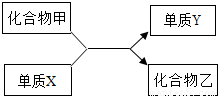
根据下列化合物与单质相互转化的关系回答:
(1)若乙的溶液是浅绿色,Y是红色固体,则X是
,如:(用化学方程式表达)
;
(2)在常温下若乙是气体,则X是
,如:(用化学方程式表达)
;
(3)在常温下若甲是固体,乙是无色液体,则X是
,如:(用化学方程式表达)
.

查看答案和解析>>