相关习题
0 83062 83070 83076 83080 83086 83088 83092 83098 83100 83106 83112 83116 83118 83122 83128 83130 83136 83140 83142 83146 83148 83152 83154 83156 83157 83158 83160 83161 83162 83164 83166 83170 83172 83176 83178 83182 83188 83190 83196 83200 83202 83206 83212 83218 83220 83226 83230 83232 83238 83242 83248 83256 211419
科目:
来源:2012年黑龙江省哈尔滨市中考化学模拟试卷(五)(解析版)
题型:选择题
图书馆是确保消防安全的重要场所,据此判断图书馆不需要出现的图标是( )

A.①②③
B.①④
C.③⑤
D.③④⑤
查看答案和解析>>
科目:
来源:2012年黑龙江省哈尔滨市中考化学模拟试卷(五)(解析版)
题型:选择题
日常生活中下列做法不正确的是( )
A.不应该用钢丝球洗刷铝制炊具
B.食品袋里充人氮气延长食品的保质期
C.厨房中的天然气大量泄露时,立即关闭气阀,打开门窗通风
D.用食盐水除去铁钉表面的铁锈
查看答案和解析>>
科目:
来源:2012年黑龙江省哈尔滨市中考化学模拟试卷(五)(解析版)
题型:选择题
下列常见现象中,不发生化学变化的是( )
A.

火箭发射
B.

铝表面生成红色铜
C.

干冰升华
D.

雕像腐蚀
查看答案和解析>>
科目:
来源:2012年黑龙江省哈尔滨市中考化学模拟试卷(五)(解析版)
题型:选择题
下列与人体健康有关的叙述正确的是( )
A.服用熟石灰治疗胃酸过多症
B.城市的“地沟油”经过加工处理后,可作为食用油
C.铁、锌、碘、硒是人体所需的常量元素
D.海产品和加碘盐可以提供一定量的碘元素
查看答案和解析>>
科目:
来源:2012年黑龙江省哈尔滨市中考化学模拟试卷(五)(解析版)
题型:选择题
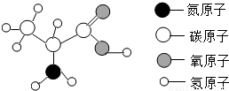
丙氨酸是形成蛋白质的一种氨基酸,下列关于丙氨酸说法不正确的是( )

A.丙氨酸是由多原子的分子构成的化合物
B.丙氨酸分子中的质子数和电子数比为1:l
C.丙氨酸分子中含有13个原子核
D.丙氨酸由碳、氢、氧、氮四种元素组成高温
查看答案和解析>>
科目:
来源:2012年黑龙江省哈尔滨市中考化学模拟试卷(五)(解析版)
题型:选择题
下列应用及相应原理(用化学方程式表示)都正确的是( )
A.高炉炼铁 C+Fe2O3═Fe+CO2↑
B.生石灰作干燥剂 CaO+H2O═Ca(OH)2
C.加熟石灰研磨,检验铵态氮肥 Ca(OH)2+2NH4NO3═CaNO3+NH3↑+H2O
D.用小苏打治疗胃酸过多 Na2C03+2HCl═2NaCl+H20+C02↑
查看答案和解析>>
科目:
来源:2012年黑龙江省哈尔滨市中考化学模拟试卷(五)(解析版)
题型:选择题
对下列事实解释不正确的是( )
A.事实:氯化钠溶液能导电,解释:溶液中有自由移动的电子
B.事实:双氧水能杀菌消毒而水不能,解释:分子构成不同
C.事实:哈尔滨春天到处可闻到丁香花的花香,解释:分子是不断运动的
D.事实:夏天钢轨间的缝隙变小,解释:原子间间隔遇热变大
查看答案和解析>>
科目:
来源:2012年黑龙江省哈尔滨市中考化学模拟试卷(五)(解析版)
题型:选择题
下列物质的应用不正确的( )
A.

用氧气切割金属
B.

食品充氧防腐
C.

用氢氧化钠制取叶脉书签
D.

活性炭净水
查看答案和解析>>
科目:
来源:2012年黑龙江省哈尔滨市中考化学模拟试卷(五)(解析版)
题型:选择题
下列说法正确的是( )
A.用聚氯乙烯包装食品
B.风能不是新能源
C.生成盐和水的反应是中和反应
D.水银不是银
查看答案和解析>>
科目:
来源:2012年黑龙江省哈尔滨市中考化学模拟试卷(五)(解析版)
题型:选择题
如图是a、b、c三种物质的溶解度曲线,下列说法正确的是( )

A.a物质的溶解度一定小于b的溶解度
B.40℃时,a、b两种物质的饱和溶液中溶质的质量分数相同
C.c物质是一定是二氧化碳溶解度曲线
D.三种物质的饱和溶液分别从40℃降温到20℃,a、b析出的晶体质量相等
查看答案和解析>>