相关习题
 0  83116  83124  83130  83134  83140  83142  83146  83152  83154  83160  83166  83170  83172  83176  83182  83184  83190  83194  83196  83200  83202  83206  83208  83210  83211  83212  83214  83215  83216  83218  83220  83224  83226  83230  83232  83236  83242  83244  83250  83254  83256  83260  83266  83272  83274  83280  83284  83286  83292  83296  83302  83310  211419 

科目: 来源:2012年湖北省黄石市大冶市还地桥中学中考化学模拟试卷(解析版) 题型:解答题

化学就在我们身边,它与我们的生活息息相关.①煤  ②氧气  ③二氧化碳  ④食盐   ⑤碳酸氢铵  ⑥熟石灰六种物质,请选择相应物质的序号填空:
(1)供给人类呼吸的气体是______;
(2)常用来改良酸性土壤的是______;
(3)烹饪时使用的调味品的是______;
(4)制冷剂“干冰”的成分是______;
(5)常用作氮肥的是______;
(6)被称为“工业的粮食”的化石燃料是______.

查看答案和解析>>

科目: 来源:2012年湖北省黄石市大冶市还地桥中学中考化学模拟试卷(解析版) 题型:填空题

请你用相应的化学符号填空.
(1)保持氮气化学性质的最小粒子    .(2)两个氢氧根离子    ;(3)天然气的主要成分   

查看答案和解析>>

科目: 来源:2012年湖北省黄石市大冶市还地桥中学中考化学模拟试卷(解析版) 题型:填空题

按要求写出化学方程式:
(1)生石灰遇水变成熟石灰   
(2)高炉炼铁中生成铁的反应   

查看答案和解析>>

科目: 来源:2012年湖北省黄石市大冶市还地桥中学中考化学模拟试卷(解析版) 题型:解答题

如图是A.B两种固体物质的溶解度曲线.请回答下列问题:
(1)P点的意义是______.
(2)t2℃时,将60g A物质放入100g水中,充分搅拌,所得溶液的质量是______g.
(3)将接近饱和的A物质的水溶液,变成饱和溶液的方法有______(答出一种即可).

查看答案和解析>>

科目: 来源:2012年湖北省黄石市大冶市还地桥中学中考化学模拟试卷(解析版) 题型:解答题

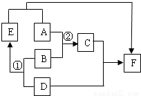
8、A、D均为黑色固体(D为常见金属),B为胃酸的主要成分,
C为蓝色溶液,D、E、F均为单质.如图为这些物质的转化关系,其中部分反应物、生成物、反应条件已省略.
(1)请写出下列物质的化学式:E______,F______.
(2)反应①除了生成E,另一生成物的化学式为______,该反应的基本类型是______.
(3)写出反应②的化学方程式______.

查看答案和解析>>

科目: 来源:2012年湖北省黄石市大冶市还地桥中学中考化学模拟试卷(解析版) 题型:解答题

根据下图装置图,回答有关问题:
(1)写出装置图中标号仪器的名称:①______ ②______
(2)写出实验室用大理石和稀盐酸制取二氧化碳的化学方程式:______.检验二氧化碳是否收集满的方法是______.
(3)若用G来收集二氧化碳,二氧化碳应从______进(选“a”或“b”),制取二氧化碳最好选择的发生装置是______(选择“B”或“C”),与另一个装置相比,其主要优点是:______.

查看答案和解析>>

科目: 来源:2012年湖北省黄石市大冶市还地桥中学中考化学模拟试卷(解析版) 题型:解答题

端午阳节后,小丽带着快乐的心情返回学校.当她来到实验室时,意外地发现实验桌上有瓶敞口放置已久的NaOH溶液,由此,激发了她的探究欲望.
【提出问题】这瓶NaOH溶液一定变质了,其变质程度如何呢?
【提出猜想】小丽的猜想:NaOH溶液部分变质
你的新猜想:______.
【实验探究】小丽设计如下实验来验证自己的猜想,请根据表中内容填写小丽实验时的现象
实验步骤现象结论
取少量NaOH溶液样品于试管中,先滴加足量的CaCl2溶液,然后再滴加酚酞试液.NaOH溶液部分变质
假设你的猜想正确,并按小丽的实验方案进行实验,则你观察到的实验现象是:______.
【实验反思】
(1)下列物质①BaCl2溶液、②Ca(NO32溶液、③Ca(OH)2溶液、④Ba(OH)2溶液,不能替代小丽实验中CaCl2溶液的是______(填序号).
(2)小丽第二次滴加的试剂除用指示剂外,还可以用______替代.
【拓展应用】保存NaOH溶液的方法是______.

查看答案和解析>>

科目: 来源:2012年湖北省黄石市大冶市还地桥中学中考化学模拟试卷(解析版) 题型:解答题

用“侯氏联合制碱法”制取的纯碱(Na2CO3)中常含有少量的氯化钠.化学实验小组同学为测定某厂生产的纯碱中碳酸钠的含量,称取12g样品放入烧杯中并滴加稀盐酸,当盐酸滴加至73g时,气泡不再冒出,此时称得烧杯内溶液的总质量为80.6g.
试计算:
(1)产生二氧化碳气体的质量是______g.
(2)该厂生产的纯碱中碳酸钠的质量分数.(计算结果精确到0.1%)

查看答案和解析>>

科目: 来源:2012-2013年丰田中学化学(上)第一阶段测试卷(解析版) 题型:选择题

厨房里发生的下列变化中,属于物理变化的是( )
A.
苹果腐烂
B.
榨取果汁
C.
面包发霉
D.
菜刀生锈

查看答案和解析>>

科目: 来源:2012-2013年丰田中学化学(上)第一阶段测试卷(解析版) 题型:选择题

下列变化属于化学变化的是( )
A.
用氢气流吹肥皂泡
B.
金属相互刻划
C.
盐酸腐蚀水磨石地面
D.
对着玻璃片哈气

查看答案和解析>>

同步练习册答案