相关习题
 0  83121  83129  83135  83139  83145  83147  83151  83157  83159  83165  83171  83175  83177  83181  83187  83189  83195  83199  83201  83205  83207  83211  83213  83215  83216  83217  83219  83220  83221  83223  83225  83229  83231  83235  83237  83241  83247  83249  83255  83259  83261  83265  83271  83277  83279  83285  83289  83291  83297  83301  83307  83315  211419 

科目: 来源:2009年北京市石景山区中考化学二模试卷(解析版) 题型:填空题

食物提供的营养素主要有蛋白质、糖类、油脂、无机盐、维生素和水.
(1)水是维系生命的重要物质,成年人体内水的质量分数约为65%~70%.水是由    组成的.
(2)下表为某品牌燕麦片每100g中含有的营养成分.
糖类油脂蛋白质维生素C
7.4g7.8g7.9g18mg206mg19.2mg37.8mg10.1mg
①该品牌燕麦片的营养成分中能为人体提供能量的有油脂、蛋白质和   
②该品牌燕麦片中含有一种人体所需的微量元素,缺乏该元素的人易患“贫血”,该元素是   
③维生素C易溶于水,向其水溶液中滴入紫色石蕊溶液,溶液变为红色,维生素C 溶液的pH     (填“<7”“>7”或“=7”);加热该溶液至沸腾,红色消失.因此,食用富含维生素C的食品时,应该注意   

查看答案和解析>>

科目: 来源:2009年北京市石景山区中考化学二模试卷(解析版) 题型:填空题

图1是氯化钠和硝酸钾两种物质的溶解度曲线,图2是氢氧化钙的溶解度曲线.根据图示回答下列问题.

(1)硝酸钾溶液中的溶质为    .10℃时氯化钠的溶解度    (填“大于”“小于”或“等于”)硝酸钾的溶解度.将30℃时的硝酸钾饱和溶液转变为不饱和溶液的一种方法是    .从氯化钠溶液中结晶出氯化钠的方法是   
(2)某同学从一瓶久置于空气中的氢氧化钙固体样品(标签为纯净物)中取出0.2g,加入到30℃时100g水中,充分溶解后过滤,称得剩余固体0.08g.请你判断:
滤液为    (填“饱和”或“不饱和”)溶液,剩余固体的成分为   
(3)将20℃时恰好饱和的硝酸钾溶液升温至60℃,一定没有变化的是    (填序号).
①水的质量     ②溶液中溶质的质量       ③硝酸钾的溶解度.

查看答案和解析>>

科目: 来源:2009年北京市石景山区中考化学二模试卷(解析版) 题型:填空题

氮化铝(AlN)具有耐高温、抗冲击、导热性好等优良性质,被广泛应用于大规模集成电路生产、陶瓷工业等领域.
(1)氮化铝(AlN)属于    (填序号).
A.单质B.化合物C.氧化物D.混合物
(2)氮化铝(AlN)中氮元素的化合价为   
(3)在高温条件下,氧化铝、氮气和碳反应可制得氮化铝和一氧化碳.该反应的化学方程式为    ,生成的一氧化碳对空气有污染,处理该气体的方法是   

查看答案和解析>>

科目: 来源:2009年北京市石景山区中考化学二模试卷(解析版) 题型:填空题

回答下列问题.
(1)细铁丝在氧气中能发生燃烧,反应的化学方程式为   
(2)铁粉和水蒸气在加热时生成四氧化三铁和氢气,该反应的基本反应类型为   
(3)小明同学设计了如图所示的A、B两个实验(已将铁丝和银丝表面打磨).
①A实验的目的是   
②B实验中,当烧杯内盛有    溶液时,可验证Fe、Cu、Ag三种金属活动性强弱.
(4)向铜粉和铁粉的混合物中加入一定量的盐酸,充分反应后过滤.以下判断正确的是    (填序号).
A.滤纸上一定没有铜
B.滤纸上可能含有铁
C.滤液中可能含有盐酸
D.滤液中一定含有氯化亚铁
(5)铜锈的主要成分的化学式为Cu2(OH)2CO3.某化学兴趣小组用A~D装置探究铜生锈的条件(A、B、D中均为煮沸过的蒸馏水,C中放有干燥剂,D中通一段时间空气后将试管密封).一个月后发现,只有A中铜生锈,且水面处铜生锈较严重.

①B装置中加植物油的目的是    .②铜生锈的条件是   

查看答案和解析>>

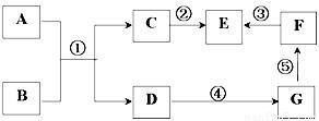
科目: 来源:2009年北京市石景山区中考化学二模试卷(解析版) 题型:填空题

A~G是初中化学常见的7种物质,它们在一定条件下转化关系如下图所示(部分反应物或生成物已略去).请针对以下两种情况回答问题.

(1)若C、G都能与同一物质反应,其中生成的E为单质、F为化合物,则E、F的化学式分别为        ;写出反应②的化学方程式   
(2)若②③为同一反应,④为化合反应.A~G均为化合物且B、C、D由两种元素组成,则E、F的化学式分别为        ;写出反应⑤的化学方程式   

查看答案和解析>>

科目: 来源:2009年北京市石景山区中考化学二模试卷(解析版) 题型:解答题

根据图回答问题.
       
  (1)某同学利用图1装置制取氧气并测定生成气体的体积.该同学采用的气体收集方法是______法,采用此收集方法的原因是______.若反应结束后量简内水的体积如图2所示,则生成的氧气体积约为______mL.
(2)如图3所示,试管内放有少量的白磷.若向水中加入适量生石灰,烧杯内发生反应的化学方程式为______;试管内可观察到的现象是______,试管中发生反应的化学方程式为______ 2P2O5

查看答案和解析>>

科目: 来源:2009年北京市石景山区中考化学二模试卷(解析版) 题型:解答题

烧碱中常含有碳酸钠.为了测定某烧碱样品中烧碱的质量分数,甲、乙两同学分别设计了如下的实验方案.
(1)甲同学的实验方案
实验步骤解释与结论
准确称量10.6g的烧碱样品,在烧杯中加足量蒸馏水溶解氢氧化钠溶解时有______现象
加入过量的氢氧化钙溶液,至反应完全反应的化学方程式为______
过滤,称量干燥后的滤渣质量为1g滤液中的溶质为______
计算烧碱样品中烧碱的质量分数为______
(2)乙同学设计了如图所示(装置气密性良好)的实验方案:将一定质量的样品溶于水→向样品溶液中加入过量的盐酸→通过反应前后质量的变化,确定二氧化碳的质量→计算氢氧化钠的质量分数.
①实验过程中发现:向溶液中滴加盐酸时,一段时间后才出现气泡,其原因可能是______.
②产生气泡反应的化学方程式为______.

查看答案和解析>>

科目: 来源:2009年北京市石景山区中考化学二模试卷(解析版) 题型:解答题

根据如图所示的实验回答问题.
(1)打开胶塞向小试管内加入一定量的干冰后将胶塞塞紧.观察到①中的现象是______,发生反应的化学方程式为______.
(2)若液体X为滴加了几滴酚酞的氢氧化钠溶液,液体Y为盐酸,液体X中可能出现的现象有______.
(3)若液体X为碳酸钠溶液,液体Y为澄清石灰水,可观察到液体X中出现的实验现象为______.待实验结束后,将③中液体过滤,滤液中溶质的可能组成为______.
【提出问题】如何证明滤液中溶质的组成?
【相关资料】碳酸钠溶液呈碱性.
【实验方案设计】请完成下列实验报告.
供选用的药品:碳酸钠溶液、澄清石灰水、无色酚酞溶液、紫色石蕊溶液.
实验操作实验现象实验结论
__________________


查看答案和解析>>

科目: 来源:2009年北京市石景山区中考化学二模试卷(解析版) 题型:解答题

氢气的工业制法之一是:将甲烷在高温和催化剂的条件下与水蒸气作用,得到主要含氢气和一氧化碳的混合气体,再除去一氧化碳,得到纯净的氢气.该反应的化学方程式为CH4+H2O3H2+CO,若制得6kg氢气,理论上需甲烷的质量为多少?

查看答案和解析>>

科目: 来源:2009年北京市石景山区中考化学二模试卷(解析版) 题型:解答题

过氧化氢溶液会自然分解,使溶质质量分数减小.为测定一瓶100g 30%的过氧化氢溶液久置后的溶质质量分数.取该溶液27.2g,加入适量二氧化锰,生成气体的质量与反应时间的关系如图所示.试计算
(1)久置后,该溶液中溶质的质量分数.
(2)该瓶溶液中,已经分解的过氧化氢质量(最后结果保留一位小数).

查看答案和解析>>

同步练习册答案