相关习题
0 83224 83232 83238 83242 83248 83250 83254 83260 83262 83268 83274 83278 83280 83284 83290 83292 83298 83302 83304 83308 83310 83314 83316 83318 83319 83320 83322 83323 83324 83326 83328 83332 83334 83338 83340 83344 83350 83352 83358 83362 83364 83368 83374 83380 83382 83388 83392 83394 83400 83404 83410 83418 211419
科目:
来源:2012年甘肃省张掖市靖安中学中考化学模拟试卷(二)(解析版)
题型:解答题
下图是“快长高”补钙剂商品的含量标签图.根据信息完成下列题目.
快长高儿童咀嚼片(60片装) 主要成分:碳酸钙 维生素D 功 效:补钙 规 格:2.5克/片 每片含碳酸钙≥1.24克 维生素D 100IU 食用方法:嚼食. 每日1片 |
小明同学为测定其碳酸钙的含量标注是否属实,她取出4片片剂,研碎后放入烧杯中,逐滴加入稀盐酸,至不再放出气体为止.共用去稀盐酸40.0克,称量烧杯中剩余物质质量为47.8克(不含烧杯质量,假定钙片中其他成分不与盐酸反应).
求:
①生成二氧化碳的质量.
②稀盐酸中溶质的质量分数.
③通过计算判断钙片中碳酸钙的含量标注是否属实.
查看答案和解析>>
科目:
来源:2012年甘肃省张掖市靖安中学中考化学模拟试卷(二)(解析版)
题型:解答题
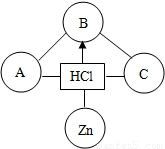
构建知识网络是一种重要的学习方法.下图是关于盐酸化学性质的知识网络,“一”表示相连的两种物质能发生反应,“→”表示一种物质转化成另一种物质,A、C属于不同类别的化合物.完善这个知识网络:
(1)写出A、B、C的化学式:A______;B______;C______.
(2)根据自己得出的知识网络写出一个复分解反应化学方程式:______.

查看答案和解析>>
科目:
来源:2012年10月中考化学模拟试卷(2)(解析版)
题型:选择题
古代“山顶洞人”从事的生产活动中,发生化学变化的是( )
A.采集野果
B.钻木取火
C.狩猎捕鱼
D.缝制衣服
查看答案和解析>>
科目:
来源:2012年10月中考化学模拟试卷(2)(解析版)
题型:选择题
下列实验操作错误的是( )
A.取用铁粉

B.倾倒稀硫酸

C.吸取石蕊溶液

D.将铁钉放入

查看答案和解析>>
科目:
来源:2012年10月中考化学模拟试卷(2)(解析版)
题型:选择题
瘪了的乒乓球放到热水中能鼓起来,是因为球内气体( )
A.分子间间隔增大
B.分子的体积增大
C.分子的个数增多
D.分子的质量增大
查看答案和解析>>
科目:
来源:2012年10月中考化学模拟试卷(2)(解析版)
题型:选择题
下列物质中,属于氧化物的是( )
A.石灰水
B.空气
C.生铁
D.干冰
查看答案和解析>>
科目:
来源:2012年10月中考化学模拟试卷(2)(解析版)
题型:选择题
下列生活用品所使用的主要材料,属于有机合成材料的是( )
A.青花瓷瓶
B.塑料水杯
C.纯棉毛巾
D.不锈钢锅
查看答案和解析>>
科目:
来源:2012年10月中考化学模拟试卷(2)(解析版)
题型:选择题
下列人体体液中,酸性最强的是( )
| | A | B | C | D |
体液 | 唾液 | 血液 | 胆汁 | 胃液 |
pH范围 | 6.6-7.1 | 7.35-7.45 | 6.8-7.4 | 0.8-1.5 |
A.A
B.B
C.C
D.D
查看答案和解析>>
科目:
来源:2012年10月中考化学模拟试卷(2)(解析版)
题型:选择题
英国科技人员研制出自动灭火陶瓷砖,砖里压入了一定量的氦气和二氧化碳.这种砖砌成的房屋发生火灾时,在高温烘烧下,砖会裂开并喷出氦气和二氧化碳,从而抑制和扑灭火焰.自动灭火陶瓷砖的灭火原理是( )
A.清除可燃物
B.使燃烧物与氧气隔绝
C.降低燃烧物的着火点
D.使燃烧物的温度降低到着火点以下
查看答案和解析>>
科目:
来源:2012年10月中考化学模拟试卷(2)(解析版)
题型:选择题
化学是一门以实验为基础的科学.下列有关实验现象的描述中正确的是( )
A.红磷在氧气中燃烧发出耀眼的白光,并产生大量的白雾
B.细铁丝在氧气中燃烧火星四射,生成红色固体
C.打开浓盐酸的试剂瓶盖,一会儿瓶口会产生白烟
D.某同学在做一氧化碳还原氧化铁的实验过程中,观察到试管中红棕色粉末逐渐变黑
查看答案和解析>>