相关习题
 0  83307  83315  83321  83325  83331  83333  83337  83343  83345  83351  83357  83361  83363  83367  83373  83375  83381  83385  83387  83391  83393  83397  83399  83401  83402  83403  83405  83406  83407  83409  83411  83415  83417  83421  83423  83427  83433  83435  83441  83445  83447  83451  83457  83463  83465  83471  83475  83477  83483  83487  83493  83501  211419 

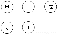
科目: 来源:2012年重庆市永川区九年级阶段性质量监测化学试卷(解析版) 题型:选择题

用铁、氧化铜、稀硫酸、氢氧化钠溶液和硫酸铜溶液五种物质,构成了如图所示的关系网络(图中的“-”表示相连的两种物质能发生反应).下列有关说法不正确的是( )

A.甲物质可能为氢氧化钠溶液
B.戊物质一定是氧化铜
C.丙和丁的反应一定是置换反应
D.乙物质可以使紫色石蕊溶液变红

查看答案和解析>>

科目: 来源:2012年重庆市永川区九年级阶段性质量监测化学试卷(解析版) 题型:填空题

用化学用语填空:
(1)1个氢分子   
(2)2个氧原子   
(3)2个亚铁离子   
(4)3个硝酸根离子   

查看答案和解析>>

科目: 来源:2012年重庆市永川区九年级阶段性质量监测化学试卷(解析版) 题型:填空题

学以致用.在①NaOH,②Ca(OH)2,③Al(OH)3等三种物质中:
(1)能用于治疗胃酸过多的是    (填番号,下同);
(2)能用于制造肥皂的是   
(3)能用于改良酸性土壤的是   

查看答案和解析>>

科目: 来源:2012年重庆市永川区九年级阶段性质量监测化学试卷(解析版) 题型:填空题

按要求书写化学反应方程式:
(1)用过氧化氢制取氧气   
(2)用木炭还原氧化铜   
(3)用铝丝和硫酸铜溶液制“铜树”   
(4)用氢氧化钠溶液吸收二氧化碳   

查看答案和解析>>

科目: 来源:2012年重庆市永川区九年级阶段性质量监测化学试卷(解析版) 题型:填空题

铁是生产和生活中广泛使用的金属.
(1)防止铁制品锈蚀和灭火原理的相同之处是   
(2)用稀盐酸除铁锈的反应方程式为   
(3)焊接铁轨的“铝热”反应,就是利用铝粉和四氧化三铁混合在点燃的条件下,发生置换反应生成单质铁和    (填化学式).

查看答案和解析>>

科目: 来源:2012年重庆市永川区九年级阶段性质量监测化学试卷(解析版) 题型:填空题

为了将硫酸、氢氧化钠、氯化钠和碳酸钠四瓶无色溶液鉴别出来,分别取出这四种溶液各少许,并编号为A、B、C、D,按如图步骤进行实验(每步实验都重新取用被鉴别的溶液),同时观察到以下现象:

由此可以推测出A是    溶液,B是    溶液,C是    溶液.为了达到每一步都能鉴别出一种物质的效果,    (填“可以”或“不能”)在第一步滴加酚酞溶液或BaC12溶液.

查看答案和解析>>

科目: 来源:2012年重庆市永川区九年级阶段性质量监测化学试卷(解析版) 题型:填空题

白色晶体草酸(化学式为H2C2O4)在浓硫酸存在时加热分解为A、B、C三种初中常见的氧化物.其中C为最常见的液体溶剂,组成A、B两种物质的元素相同,组成草酸与D物质的元素也相同.各物质之间的关系如下图所示(反应条件已省略).
根据上述信息,回答下列问题:
(1)A物质的化学式为   
(2)B+C→D的化学方程式为   
(3)草酸在浓硫酸催化作用下加热分解的化学方程式为   
(4)有人认为,A、B两种物质就像孪生兄弟,这是因为    (填序号).
①它们由同种分子构成   ②它们由相同的元素组成     ③它们都有毒    ④它们都能溶于水
也有人认为,二者化学性质相差甚远,请给出一条支持他的理由:   

查看答案和解析>>

科目: 来源:2012年重庆市永川区九年级阶段性质量监测化学试卷(解析版) 题型:填空题

如图是小华配制100g溶质质量分数为5%的NaCl溶液的实验操作示意图:
(1)上图中的玻璃仪器分别是广口瓶、量筒、    和玻璃棒,其中玻璃棒在此操作中的作用是   
(2)指出图②中的一处错误操作   
(3)通过计算确定需要水的质量是    g,配制时应选择    (填10、50或100)mL的量筒量取所需要的水.
(4)用上述图示的序号表示配制溶液的操作顺序   

查看答案和解析>>

科目: 来源:2012年重庆市永川区九年级阶段性质量监测化学试卷(解析版) 题型:解答题

实验室常用氯化铵晶体和碱石灰(NaOH和CaO的混合物,有很强的吸水性,常作干燥剂)在加热的条件下,制取氨气(NH3),反应原理为NH4Cl+NaOHNH3↑+NaCl+H2O.氨气极易溶于水,且能使湿润的紫色石蕊试纸变蓝,现结合下列实验装置(仪器)图回答有关何题:

(1)制取氨气的装置应选择______(填番号),但缺少的仪器是______(填名称);
(2)收集氨气的装置可选择______(填“D”或“E”或“F”),如果选择了G,那么气体应由______(填“a”或“b”)进入;
(3)浓硫酸______(填能或不能)作干燥氨气的干燥剂,还可以选用______(填名称)作干燥剂干燥氨气;
(4)收集氨气时验满的方法是______.

查看答案和解析>>

科目: 来源:2012年重庆市永川区九年级阶段性质量监测化学试卷(解析版) 题型:解答题

向100克盐酸和氯化钙溶液的混物中逐滴滴入10.6%碳酸钠溶掖,且参加反应的碳酸钠溶液的质量与生成沉淀的质量之间的关系如图所示.

(1)a点溶液中的溶质是______,b点溶液中的溶质是______.
(2)试计算到a点时所产生气体的总质量和b点时溶液的总质最(保留两位小数).

查看答案和解析>>

同步练习册答案