相关习题
 0  83444  83452  83458  83462  83468  83470  83474  83480  83482  83488  83494  83498  83500  83504  83510  83512  83518  83522  83524  83528  83530  83534  83536  83538  83539  83540  83542  83543  83544  83546  83548  83552  83554  83558  83560  83564  83570  83572  83578  83582  83584  83588  83594  83600  83602  83608  83612  83614  83620  83624  83630  83638  211419 

科目: 来源:2012年内蒙古鄂尔多斯市大兴中学中考化学模拟试卷(解析版) 题型:选择题

下列图象中有关量的变化趋势与对应叙述关系正确的是( )

A.某温度下,向一定量的水中持续加入食盐并不断搅拌
B.向一定质量的稀硫酸中滴加水
C.向氢氧化钠和碳酸钠的混合溶液中滴加石灰水至过量
D.等质量的锌、铁与足量的稀硫酸反应

查看答案和解析>>

科目: 来源:2012年内蒙古鄂尔多斯市大兴中学中考化学模拟试卷(解析版) 题型:选择题

将混有少量铜及氧化铜粉末的铁粉,放入盛有稀硫酸的烧杯中,充分反应后,有部分铁剩余,过滤,滤液中的物质是( )
A.硫酸
B.硫酸铜和硫酸亚铁
C.硫酸铜
D.只有硫酸亚铁

查看答案和解析>>

科目: 来源:2012年内蒙古鄂尔多斯市大兴中学中考化学模拟试卷(解析版) 题型:选择题

分别将下列各组物质同时加入到足量水中,最终能得到无色、透明溶液的是( )
A.BaCl2、NaOH、H2SO4
B.KNO3、NaOH、CuSO4
C.HNO3、NaCl、K2SO4
D.FeCl3、Na2SO4、KCl

查看答案和解析>>

科目: 来源:2012年内蒙古鄂尔多斯市大兴中学中考化学模拟试卷(解析版) 题型:解答题

某学校饮水处可以将自来水净化为饮用水,其中处理步骤如图所示:

①对应的作用是______(填字母序号,下同),③对应的作用是______.
a.杀菌消毒      b.吸附杂质      c.沉淀过滤      d.蒸馏.

查看答案和解析>>

科目: 来源:2012年内蒙古鄂尔多斯市大兴中学中考化学模拟试卷(解析版) 题型:填空题

化学与生活密切相关,在厨房里蕴含着许多化学知识.
(1)下列厨房用品中,所使用的主要材料属于天然纤维的是    (填字母序号,下同),属于金属材料的是   

(2)下列食物中,富含蛋白质的是    ,能提供大量维生素的是   

(3)下表是100g某食品的部分营养成分:
总热量蛋白质糖类油脂
2060kJ50g20g20g5g5.6mg3.3mg8mg
该食品中的    元素可以预防贫血,能够提供能量的营养成分是   

查看答案和解析>>

科目: 来源:2012年内蒙古鄂尔多斯市大兴中学中考化学模拟试卷(解析版) 题型:解答题

已知A、B、C、D四种1-18号元素,核电荷数依次增大,单质A是最轻的气体,A、B形成的化合物是实验室中最常见的溶剂,单质C常用于做导线,D的单质呈黄色.则:
(1)B元素符号是:______;
(2)画出D的原子结构示意图______;
(3)B与C形成的化合物的化学式是:______;
(4)由上述四种元素形成的化合物发生中和反应的化学方程式是:______.

查看答案和解析>>

科目: 来源:2012年内蒙古鄂尔多斯市大兴中学中考化学模拟试卷(解析版) 题型:填空题

如图是某锌锰干电池的剖面图:
(1)锌锰干电池工作时可以将化学能转化为    能;
(2)碳棒具有    性,可作为干电池的电极;
(3)MnO2可作为实验室用双氧水制O2   
(4)废旧电池中的锌可回收利用,用于实验室与稀硫酸反应制取氢气.写出该反应的化学方程式:   

查看答案和解析>>

科目: 来源:2012年内蒙古鄂尔多斯市大兴中学中考化学模拟试卷(解析版) 题型:解答题

为了节省石油资源和有效地减少汽车尾气对环境的污染,我国正在逐步推广使用在汽油中加入适量乙醇作为汽车燃料(车用乙醇汽油).乙醇的化学式是C2H5OH,在物质分类中属于______化合物(填“无机”或“有机”),乙醇燃烧时生成二氧化碳和水,写出该反应的化学方程式______ 2CO2+3H2O

查看答案和解析>>

科目: 来源:2012年内蒙古鄂尔多斯市大兴中学中考化学模拟试卷(解析版) 题型:填空题

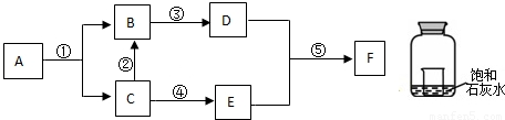
A~F为初中常见的六种不同物质.下图为它们之间的转化关系(部分反应物或生成物已略去).请根据以下每小题的具体情况进行解答.
(1)若A为火碱,则A的化学式为    ,C的化学式为    ,①的化学方程
式为   
(2)若将(1)中推出的六种物质改变位置,仍然符合上图中的转化关系.当F为火
碱时,则A的化学式为    ,⑤的化学方程式为   
(3)从上述六种物质中选取适当的物质,按右图所示装置进行实验.
打开胶塞,向小烧杯中加入适量的某种固体和液体后,迅速盖好胶塞,可以观察到澄清的石灰水变浑浊.符合条件的固体和液体分别为   

查看答案和解析>>

科目: 来源:2012年内蒙古鄂尔多斯市大兴中学中考化学模拟试卷(解析版) 题型:解答题

日常生活中的金属材料多数属于合金.下表列出了一些常见合金的主要成分和性能.
合金合金的主要性能主要成分及纯金属的性能
焊锡熔点183℃锡:熔点232℃;铅:熔点327℃
硬铝硬度好铝、铜、镁等.硬度小
不锈钢抗腐蚀性好铁、碳、铬、镍等.纯铁抗腐蚀性不如不锈钢.
(1)由上表可以推断,与组成合金的纯金属相比、合金的优点一般有______、______;(至少答两点)
(2)把硬铝放在足量的盐酸中,最后剩余的金属是______,写出发生反应的其中一个化学方程式______.
(3)铁制品暴露在空气中会发生锈蚀,而在铁中熔合了一定量的碳、铬、镍等形成不锈钢后,改变了纯铁的______,因而其抗锈蚀性能比纯铁好得多.

查看答案和解析>>

同步练习册答案