相关习题
 0  83546  83554  83560  83564  83570  83572  83576  83582  83584  83590  83596  83600  83602  83606  83612  83614  83620  83624  83626  83630  83632  83636  83638  83640  83641  83642  83644  83645  83646  83648  83650  83654  83656  83660  83662  83666  83672  83674  83680  83684  83686  83690  83696  83702  83704  83710  83714  83716  83722  83726  83732  83740  211419 

科目: 来源:2012年江苏省南通市如东县中考冲刺化学试卷(解析版) 题型:解答题

南京市国民经济和社会发展第“十二五”规划纲要指出,要做强做优电子信息等工业支柱产业.硅(Si)是信息技术的关键材料,常用以下方法制得纯硅,如下图所示:

(1)图中①、③发生了置换反应,②发生了化合反应.写出②和③的化学反应方程式:
②______ SiCl4

查看答案和解析>>

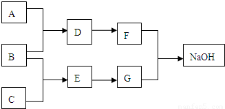
科目: 来源:2012年江苏省南通市如东县中考冲刺化学试卷(解析版) 题型:填空题

A、B、C、D、E、F、G七种物质有如图所示的转化关系(部分反应物和生成物略去),其中A为胃液中的酸,B为红色粉末,C为固体单质,B、D、E为氧化物,D转化为F放出大量热.

回答:
(1)写出下列物质的化学式,B    ,D    ,G   
(2)以上转化中没有出现的基本反应类型是    ,不属于基本类型的反应的化学方程式是   
(3)A和B反应在实际中的应用是   

查看答案和解析>>

科目: 来源:2012年江苏省南通市如东县中考冲刺化学试卷(解析版) 题型:解答题

图是实验室用于制取、干燥和收集气体的装置图.实验课上同学们用过氧化氢溶液和二氧化锰制取并收集氧气,请回答问题:
(1)制取氧气的发生装置应选择(填装置编号)______,反应的化学方程式为______ 2H2O+O2

查看答案和解析>>

科目: 来源:2012年江苏省南通市如东县中考冲刺化学试卷(解析版) 题型:填空题

实验小组研究盐酸、氢氧化钙两种物质的化学性质,做了如下图所示8个实验.

已知:Na2CO3+CaCl2=CaCO3↓+2NaCl
(1)实验后某试管中为黄色溶液,该试管中发生反应的化学方程式为   
(2)实验后某试管中为红色溶液,向其中加入足量的    ,溶液变为无色.由此推断,该试管中最初盛有的物质是   
(3)实验后某试管的底部有白色固体,过滤后向滤液中滴加稀盐酸,一段时间后有气泡出现.由此推断,该试管中最初发生反应的化学方程式为   
(4)实验后某试管中只得到无色溶液,向其中加入足量的Na2CO3溶液,无明显现象.由此推断,该试管中最初发生反应的化学方程式为    ,原无色溶液中的溶质是(写出所有可能)   

查看答案和解析>>

科目: 来源:2012年江苏省南通市如东县中考冲刺化学试卷(解析版) 题型:填空题

通过近一年的化学实验探究,小林发现金属和酸反应生成氢气的速率与金属的状态、酸的浓度、反应的温度等条件有关.下表是他对铝与稀盐酸反应受哪些条件的影响的探究(其中铝和稀盐酸每次的用量都相同).请你根据表中的信息填空:
实验编号温度铝的规格盐酸浓度
20℃铝片5%
20℃铝片10%
铝粉10%
30℃铝片5%
(1)写出铝与稀盐酸反应的化学方程式   
(2)用②和③来探究铝的状态对反应速率的影响,小林进行实验③时的温度为   
(3)要探究温度对反应速率的影响,小林设计的实验组合是    (填写实验编号);
(4)小林设计实验组合①②的目的是   
(5)实验探究时,小林每次收集的氢气均为30mL,则实验中他还应记录的实验数据是   
(6)在进行上述铝与稀盐酸反应时,粗心的小林不小心将氢氧化钠溶液倒入了铝片中,发现也有气泡产生,好奇的他继续进行了如下实验探究:
【提出问题】铝与氢氧化钠溶液反应时生成的气体是什么?
【进行猜想】猜想①:可能是CO2;猜想②:可能是O2;猜想③:可能是H2
你认为猜想    是不合理的,理由是   
【实验方案】①收集气体:实验时气体收集的方法是   
②检验气体:验证猜想②的方法是   
【得出结论】铝与氢氧化钠溶液反应的方程式为:
2Al+2NaOH+2H2O=2    +3H2↑(在横线上填上化学式).

查看答案和解析>>

科目: 来源:2012年江苏省南通市如东县中考冲刺化学试卷(解析版) 题型:解答题

甲乙两同学为探究某石灰石样品中碳酸钙的质量分数(杂质不溶于水,也不与酸等物质发生反应),他俩将一定质量的石灰石样品和稀盐酸进行充分反应,实验过程和测定的相关数据如图所示,分析下述实验过程和数据并计算:
(1)石灰石样品中碳酸钙的质量是多少?
(2)稀盐酸中溶质的质量分数是多少?

查看答案和解析>>

科目: 来源:2012年江苏省扬州市广陵区中考化学二模试卷(解析版) 题型:选择题

下列变化属于化学变化的是( )
A.
海水晒盐
B.
活性炭吸附冰箱内的异味
C.
燃放烟花
D.
分离液态空气制氧气

查看答案和解析>>

科目: 来源:2012年江苏省扬州市广陵区中考化学二模试卷(解析版) 题型:选择题

下列物质的用途与化学性质有关的是( )
A.用生铁制铁锅
B.氧气供给呼吸
C.用木炭除去异味
D.用16%的食盐选种

查看答案和解析>>

科目: 来源:2012年江苏省扬州市广陵区中考化学二模试卷(解析版) 题型:选择题

春季是传染病多发季节,从环保角度考虑,你认为下列餐具在“一次性餐具”的发展中最有前景的是( )
A.瓷器餐具
B.淀粉餐具
C.塑料餐具
D.银质餐具

查看答案和解析>>

科目: 来源:2012年江苏省扬州市广陵区中考化学二模试卷(解析版) 题型:选择题

化学是一门以实验为基础的科学.下列有关实验现象的描述中正确的是( )
A.红磷在氧气中燃烧发出耀眼的白光,并产生大量的白雾
B.细铁丝在氧气中燃烧火星四射,生成红色固体
C.打开浓盐酸的试剂瓶盖,一会儿瓶口会产生白烟
D.某同学在做一氧化碳还原氧化铁的实验过程中,观察到试管中红棕色粉末逐渐变黑

查看答案和解析>>

同步练习册答案