相关习题
 0  83739  83747  83753  83757  83763  83765  83769  83775  83777  83783  83789  83793  83795  83799  83805  83807  83813  83817  83819  83823  83825  83829  83831  83833  83834  83835  83837  83838  83839  83841  83843  83847  83849  83853  83855  83859  83865  83867  83873  83877  83879  83883  83889  83895  83897  83903  83907  83909  83915  83919  83925  83933  211419 

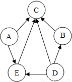
科目: 来源:2012年湖北省襄阳市襄城区中考化学模拟试卷(解析版) 题型:填空题

如图是关于初中化学常见的五种物质的转化关系网络(其他反应物和生成物已略去).其中A是黑色固体,B为红棕色固体,C、D、E常温下均为气体,C的相对分子质量大于E.
请回答:
(1)A的化学式    ;D的化学式   
(2)写出B向C转化的反应方程式   
(3)E在生产生活中的用途    .(答一条即可)

查看答案和解析>>

科目: 来源:2012年湖北省襄阳市襄城区中考化学模拟试卷(解析版) 题型:填空题

实验室用H2O2溶液和MnO2固体混合物制取O2时,用注射器代替长颈漏斗的优点是    ;若要从反应后的混合物中分离出MnO2固体,其主要操作是   

查看答案和解析>>

科目: 来源:2012年湖北省襄阳市襄城区中考化学模拟试卷(解析版) 题型:填空题

小亮对铁丝在氧气里燃烧时出现的红热球状物产生了兴趣,随后他进行了以下探究活动.
问题1:铁燃烧后剩下来的球状物质中还有没有铁呢?
实验探究:将剩下来的球状物质碾碎,加入    溶液,观察到的现象是    ,说明铁燃烧时溅落下来的黑色物质中还含有铁.
 Fe3O4Fe2O3
分解温度/℃15381400   
熔点/℃        1535
问题2:铁燃烧的产物为什么不是Fe2O3呢?
查阅资料:
(1)自然界中铁的氧化物主要是Fe3O4和Fe2O3两种(FeO极易被氧化为Fe2O3);
(2)Fe3O4和Fe2O3的分解温度、铁的熔点见表:
(3)Fe2O3高温时分解成Fe3O4
理论探讨:实验测定铁在氧气里燃烧的产物是Fe3O4,结合表中数据,可推知铁在氧气里燃烧时产生的高温应在    ℃之间,在此温度范围内    已分解.
拓展延伸:
(1)实验中为了防止集气瓶炸裂,必须   
(2)有些食品包装盒的透明盖内放有黑色的FeO粉末,若粉末的颜色    ,就说明包装盒破损进气,这样售货员就能及时发现并处理.

查看答案和解析>>

科目: 来源:2012年湖北省襄阳市襄城区中考化学模拟试卷(解析版) 题型:解答题

某品牌补钙剂的主要成分是碳酸钙(杂质不含钙元素),向12g这种补钙剂样品中逐渐加入稀盐酸,盐酸质量和生成气体的质量如下表所示(杂质可溶于水,不和盐酸反应),第三次加入盐酸后,所得溶液中氯化钙的质量分数为20%.求这份补钙剂含钙的质量分数.
第一次第二次第三次
加入稀盐酸的质量18.25g36.5g47.9g
生成气体的质量2.2g4.4g4.4g

查看答案和解析>>

科目: 来源:2012年山东省德州市中考化学一模试卷(解析版) 题型:选择题

下列物质的用途,主要利用其化学性质的是( )
A.活性炭可除去冰箱中的异味
B.干冰用作人工降雨
C.氮气用作焊接金属的保护气
D.汽油可用于擦拭衣物上的油污

查看答案和解析>>

科目: 来源:2012年山东省德州市中考化学一模试卷(解析版) 题型:选择题

下列实验现象叙述正确的是( )
A.硫在氧气中燃烧发出淡蓝色火焰
B.红磷在空气中燃烧发出蓝紫色火焰
C.镁带在空气中燃烧时,放出大量的热,生成黑色固体
D.氢氧化钠溶液与稀硫酸反应,溶液颜色无明显变化

查看答案和解析>>

科目: 来源:2012年山东省德州市中考化学一模试卷(解析版) 题型:选择题

下列说法不正确的是( )
A.原子是化学变化中的最小微粒
B.人类利用的能量都是通过化学变化获得的
C.久置于空气中的生石灰质量会增加
D.原子的质量几乎都集中在原子核上,由质子和中子决定

查看答案和解析>>

科目: 来源:2012年山东省德州市中考化学一模试卷(解析版) 题型:选择题

下列实验方法中错误的是( )
A.用肥皂水鉴别硬水和软水
B.用pH试纸测定溶液的酸碱度
C.用灼烧的方法鉴别羊毛和涤纶
D.用带火星木条伸入集气瓶内检验氧气是否收集满

查看答案和解析>>

科目: 来源:2012年山东省德州市中考化学一模试卷(解析版) 题型:选择题

下列有关铁及其化合物的说法中错误的是( )
A.生铁和钢都是铁的合金
B.地壳中含量最多的金属元素是铁元素
C.铁在潮湿的空气中容易生锈
D.一氧化碳与氧化铁在高温下反应生成铁

查看答案和解析>>

科目: 来源:2012年山东省德州市中考化学一模试卷(解析版) 题型:选择题

据探测卫星发回的数据分析,火星大气中95%是二氧化碳,其余为少量的氮气.氢气,还找到了有液态水存在的证据.根据以上信息,某同学作出如下推断:
①火星大气是混合物
②火星大气与地球大气成分相似
③火星上钢铁不容易生锈 
④火星环境适宜人类生存
⑤火星上温室效应显著.
你认为正确的是( )
A.①③⑤
B.②③⑤
C.②③④
D.①④⑤

查看答案和解析>>

同步练习册答案