相关习题
 0  83939  83947  83953  83957  83963  83965  83969  83975  83977  83983  83989  83993  83995  83999  84005  84007  84013  84017  84019  84023  84025  84029  84031  84033  84034  84035  84037  84038  84039  84041  84043  84047  84049  84053  84055  84059  84065  84067  84073  84077  84079  84083  84089  84095  84097  84103  84107  84109  84115  84119  84125  84133  211419 

科目: 来源:2012年江苏省南京市高淳县中考化学二模试卷(解析版) 题型:选择题

据报道,科学家己经研制出世界上最薄的材料--碳膜片,其厚度只有一根头发的二十万分之一.如图所示,这种碳膜片状如蜂巢,是由碳原子构成的六边形单元向外延展而成,下列有关碳膜片的说法中,正确的是( )

A.碳膜片属于单质
B.碳膜片与C60是同一种物质
C.碳膜片属于人工合成的有机高分子材料
D.碳膜片在氧气中完全燃烧的产物和碳在氧气中完全燃烧的产物不同

查看答案和解析>>

科目: 来源:2012年江苏省南京市高淳县中考化学二模试卷(解析版) 题型:选择题

在相同温度、相同压强条件下,气体体积之比等于气体所含的分子数之比.某混合气体中可能含有N2、HCl、CO,将其依次通过碳酸氢钾溶液和灼热的CuO,气体体积无变化,但有红色物质生成(设各步反应均充分).再通过足量的NaOH溶液,气体体积明显减小,将燃着的木条伸入盛有剩余气体的集气瓶中,木条熄灭.则可推断该混合气体中( )
A.一定有N2和CO,肯定无HCl
B.一定有N2和CO,可能有HCl
C.一定有N2、HCl和CO
D.一定有CO,可能有N2和HCl

查看答案和解析>>

科目: 来源:2012年江苏省南京市高淳县中考化学二模试卷(解析版) 题型:选择题

为了探究铁和硫酸溶液反应中量的关系,兴趣小组做了五组实验,实验结果记录如下:
编号加入铁的质量/g硫酸溶液体积/mL生成氢气的质量/g
11.1220.00.04
2x20.00.08
33.3620.00.12
44.4820.00.14
55.6040.0y
则表格中记录的x和y的数值应分别为( )
A.2.24、0.14
B.2.24、0.20
C.3.36、0.16
D.3.36、0.14

查看答案和解析>>

科目: 来源:2012年江苏省南京市高淳县中考化学二模试卷(解析版) 题型:填空题

5月12日同学们进行了物理化学实验考查.化学实验有“实验室制取二氧化碳气体、收集和验满”和“配制50g6%的NaCl溶液”两实验供抽选.
【检查药品与仪器】小文同学抽到了“二氧化碳的制取、收集和验满”实验.如图是实验桌上摆放好的该实验所需的用品.
实验前小文发现其中缺少了一种实验仪器和一种药品,请你写出所缺仪器的名称    ;所缺药品是    ;写出该实验反应的化学方程式:   
【实验操作】如图是小文实验时的主要步骤,这些步骤的正确顺序是    (填字母标号),其中操作有误的是    (填字母标号),应该如何操作?   
【反思】氨气极易溶于水,常温常压下1体积水可溶解700体积的氨气,溶解时氨气与水反应生成一水合氨,溶液显碱性.氨气的密度比空气小.实验室制氨气的反应如下:2NH4Cl(固体)+Ca(OH)2(固体)2NH3↑+CaCl2+2H2O
(1)能否用实验室制取二氧化碳的发生装置制氨气?    (填“能”或者“否”),理由:   
(2)氨气的收集方法是   

查看答案和解析>>

科目: 来源:2012年江苏省南京市高淳县中考化学二模试卷(解析版) 题型:填空题

环境问题是2011年“两会上”的热门话题之一.
①燃气安全是家庭生活中的头等大事.为了防止燃气泄漏,常在燃气中加入少量有特殊气味的乙硫醇(C2H5SH).一旦燃气泄漏即可闻到气味,从微观的角度分析其原因是    ;乙硫醇充分燃烧时生成二氧化碳、二氧化硫和水,乙硫醇燃烧的化学方程式为   
②含硫煤燃烧后,排放到空气中的有毒气体主要是SO2,它遇到雨水后可形成酸雨降落到地面上会带来极大危害.为了减少环境污染,对工厂排放的废气中的SO2可用足量烧碱溶液吸收处理,其化学反应方程式为   

查看答案和解析>>

科目: 来源:2012年江苏省南京市高淳县中考化学二模试卷(解析版) 题型:填空题

如图为某反应的微观示意图,请回答:
(1)反应后的物质是    (填“纯净物”、“混合物”).
(2)该反应的化学方程式为   

查看答案和解析>>

科目: 来源:2012年江苏省南京市高淳县中考化学二模试卷(解析版) 题型:填空题

请根据下表回答有关问题
(1)写出纯碱的化学式   
(2)表中物质属于氧化物的是:    ;属于盐的是:   
序号
物质醋酸生石灰熟石灰纯碱
化学式CH3COOHCaOCa(OH)2  
(3)上述四种物质放入相等的水中,所得的溶液中pH最小的是   
(4)你认为CH3COOH(其性质类似于盐酸)可以与表中    物质发生化学反应;
(5)利用表中作反应物(可以加水或与在水中进行),写出符合下列要求的化学方程式
Ⅰ生石灰转化为熟石灰:   
Ⅱ制取氢氧化钠:   

查看答案和解析>>

科目: 来源:2012年江苏省南京市高淳县中考化学二模试卷(解析版) 题型:填空题

人类的生产生活离不开金属.

(1)在地壳里含量居第二位的金属元素是   
(2)图1所示铜制品的用途中,利用金属导电性的是    (填字母,下同),利用金属导热性的是   
(3)下列三种金属被发现、使用的先后顺序依次为:铜、铁、铝.金属大规模被使用的先后顺序跟    (填字母)关系最大.
A.地壳中金属元素的含量  B.金属的导电性  C.金属的活动性
(4)某校化学兴趣小组同学利用金属进行了如下一些探究活动:
探究活动一:在室温条件下进行如图2所示实验(两装置的气密性都良好).
已知:
试管内的镁条和铁片表面均被打磨洁净,且形状、大小均相同;同时加入两支试管中的稀盐酸的质量和溶质质量分数均相等.
①该实验的目的是        .两支长颈漏斗中产生的现象的不同之处是   
②若实验所用的金属均过量,则充分反应后两装置产生的H2质量关系为    (填字母).
A.甲多     B.乙多     C.一样多
探究活动二:为除去铜屑中混有的少量铁屑,并测定该混合物中铁的质量分数,现有如下A、B两组实验方案.
A:称取一定量的样品过滤、洗涤、干燥、称量所得固体质量
B:称取一定量的样品过滤、洗涤、干燥、称量所得固体质量
③过滤需用到的玻璃仪器有烧杯、玻璃棒和   
④B方案难以达到目的,其理由是   
⑤A方案中,用    (填试剂的化学式)洗涤滤渣.若用加热的方式烘干滤渣,会导致测定的铁的质量分数    (填“偏大”、“偏小”、“不变”或“无法判断”).

查看答案和解析>>

科目: 来源:2012年江苏省南京市高淳县中考化学二模试卷(解析版) 题型:填空题

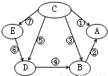
A、B、C、D、E是初中化学中常见的五种化合物,且它们都含有一种相同的元素.如图是各物质间的转化关系图,其中A为食盐的主要成分,B中含钡元素,D、E的溶液都有颜色,其它溶液都为无色.⑤和⑥为置换反应,其它均为复分解反应.
(1)写出下列物质的化学式:A    ;C   
(2)E转化为D时的现象   
(3)请写出:⑥E转化为D的化学方程式   
⑦C转化为E的化学方程式   

查看答案和解析>>

科目: 来源:2012年江苏省南京市高淳县中考化学二模试卷(解析版) 题型:解答题

长途运输鱼苗时,人们常在水中加入少量过氧化钙(CaO2)固体,为鱼提供氧气.
过氧化钙与水反应除生成氧气外,还生成什么物质?课外兴趣小组决定对这一问题中进行探究,请你参与.
实验探究一:过氧化钙与水反应除生成氧气外,还生成什么物质?【猜想】另一生成物为氢氧化钙.
【进行试验】取适量过氧化钙放入试管中加适量水,向试管中滴加酚酞试液,液体变成______色,则猜想成立.
写出该反应的化学方程式______.
【意外发现】较长时间后,同学们发现滴入酚酞后变色了的液体颜色又变回无色,你认为褪色的可能原因是______.
【查阅资料】过氧化钙放置在空气中,会变质产生氢氧化钙和碳酸钙两种杂质.
实验探究二:测定久置过氧化钙纯
【实验过程】
称量144g样品放在铜网中,按图1装置组装后  (药水瓶底部留有小孔),称量仪器及药品总质量,将铜网插入足量水中,反应完全后称量仪器及反应后物质总质量.测得实验数据如下表.
样品
质量
装置及药品
总质量
装置及反应后物质
总质量
实验数据144g394g378g
【问题讨论】
(1)药水瓶中碱石灰的作用为______.
(2)本实验测得过氧化钙含量可能会偏小的原因是______.
(3)根据实验数据计算:
①生成氧气______g.
②样品中过氧化钙的含量是______g.
实验探究三:测定久置过氧化钙样品中碳酸钙含量
【测定方案】
①如图2所示,连接好装置,检查装置气密性合格;
②称量20g样品置于烧杯中,加入适量水混合,完全反应后全部倒入下图的烧瓶中,向分液漏斗中加入足量稀盐酸待用;
③将量气管液面调节到“0”刻度,并使量气管内液面与油层相平,打开止水夹和分液漏斗活塞;
④反应结束后,再次调节量气管内液面与油层液面相平,读出气体体积;
⑤查得CO2的密度,计算样品中碳酸钙的质量分数.______
(4)图中油层的作用为______,油层上方留有空气,会使测量结果______(填“偏大”、“偏小”或“不受影响”).中和反应明显放出热量,滴加稀盐酸后,发生装置里发生的中和反应的化学方程式为______,这个反应的发生可能使测定结果______(填“偏大”、“偏小”或“不受影响”).
(5)反应结束后,测得量气管读数为1120ml,根据该条件下CO2的密度得知生成CO2的质量为2.2g.求样品中碳酸钙的质量分数(写出计算过程).______
(6)步骤④中再次调节量气管内液面与油层液面相平的方法______.步骤②中将样品和水混合的目的是______.
(7)充分反应后将烧瓶中的液体蒸干,得到27.75g固体,这袋样品在变质前全为过氧化钙,其质量为______g.

查看答案和解析>>

同步练习册答案