相关习题
 0  84180  84188  84194  84198  84204  84206  84210  84216  84218  84224  84230  84234  84236  84240  84246  84248  84254  84258  84260  84264  84266  84270  84272  84274  84275  84276  84278  84279  84280  84282  84284  84288  84290  84294  84296  84300  84306  84308  84314  84318  84320  84324  84330  84336  84338  84344  84348  84350  84356  84360  84366  84374  211419 

科目: 来源:2012年江苏省南京市玄武区中考化学二模试卷(解析版) 题型:填空题

金属在工农业生产和日常生活中有着很重要的作用.
(1)不锈钢属于    (填“纯净物”、“混合物”).
(2)铝制品具有很好的抗腐蚀性能,现在世界上铝的年产量已超过了铜.请将方框内横线上的正确答案填写在答题纸上.
(3)某同学实验结束时,为了回收含有CuSO4、ZnSO4、FeSO4废液中的有关金属和盐,设计了如下实验方案:
试回答:

Ⅰ.步骤①中锌粉必须过量的原因是   
Ⅱ.写出步骤①中任一反应的化学方程式   
Ⅲ.要检验步骤④中加入的稀硫酸是否足量的方法   
Ⅳ.若实验过程中的物质损失可以忽略,最终所得硫酸锌的质量    (填“>”、“<”或“=”)原废液中硫酸锌的质量.要计算该废液中硫酸铜质量,必须要称量    的质量.

查看答案和解析>>

科目: 来源:2012年江苏省南京市玄武区中考化学二模试卷(解析版) 题型:填空题

燃烧是人类最早利用的化学反应之一,与我们的生活、社会的发展有着密切的联系.以下是关于燃烧的三个实验,请回答问题.

实验1、a、b、c三处物质中能够燃烧的是    (填字母序号),该反应的化学方程式为   
实验2、集气瓶中充满氧气,胶塞处装有一对石墨电极,分别接到电源的正负两极,电极之间连有一段很细的铁丝.实验时,通入20V的直流电,能够看到铁丝剧烈燃烧.从燃烧的条件的角度分析产生以上现象的原因是   
实验3、将镁条在空气中点燃后再放入充满CO2的集气瓶中,发现镁条继续剧烈燃烧,发出白光,放热,产生一种白色固体和一种黑色固体.已知该反应为置换反应,发生的方程式为    .这个实验使你对燃烧条件产生的新认识是    .收集镁条燃烧后的固体粉末于燃烧匙中,将其放于酒精灯的火焰上灼烧,并用内壁涂有澄清石灰水的烧杯罩在燃烧匙上方,澄清石灰水变浑浊,证明该固体粉末含碳元素.你认为该实验设计是否严密,理由是   

查看答案和解析>>

科目: 来源:2012年江苏省南京市玄武区中考化学二模试卷(解析版) 题型:解答题

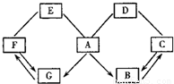
如图所示A~G是初中化学常见的物质.图中“→”表示转化关系,“-”表示相互能反应.已知A是人体胃液中含有的酸,G是最轻的气体,B、C、D、E、F都是氧化物.请回答:
(1)G的化学式为______,E与F发生化学反应的基本类型是______,写出物质B的一种用途______;
(2)C、D发生反应的化学方程式可能为______ 2Fe+3CO2

查看答案和解析>>

科目: 来源:2012年江苏省南京市玄武区中考化学二模试卷(解析版) 题型:填空题

某学习小组对硫酸进行如下研究:
(1)已知相同温度下,硫酸的质量分数越大溶液的酸性越强.若对稀硫酸进行如下操作,溶液的pH因化学变化而升高的有    (填字母).
A.加少量水      B.加少量铁粉    C.加少量氢氧化钾   D.加少量浓硫酸
时间/h11.54812244860
吸水质量/g硫酸甲1.62.25.210.314.020.929.232.1
硫酸乙1.21.53.55.98.112.919.521.0
(2)向两个烧杯中分别注入硫酸甲(溶质质量分数为98%,密度为1.84g/cm3)和硫酸乙(硫酸甲与水的按体积比1:1混和)各10mL,称量并记录不同时间(h)两种硫酸溶液吸水的质量,数据见下表:
①若量取硫酸甲时俯视读数,则所配硫酸乙的溶质质量分数将    (填填“偏大”、“偏小”或“不变”.
②由表中实验数据可知:有关硫酸吸水性的说法不正确的是    (填字母).
A.硫酸甲和乙都有吸水性  B.只有硫酸甲有吸水性   C.硫酸甲的吸水性较硫酸乙强
(3)在高效复习课堂中,同学们利用稀释后的稀硫酸,硝酸钡、氢氧化钠、碳酸钾等物质的溶液对“复分解反应发生的条件”进行再探究.
①将上述四种溶液两两混合,判断其两两之间能否发生反应,请写出其中符合下列条件的两个化学方程式:一个中和反应    ;一个有沉淀生成的反应   
②利用上述四种物质的溶液完成实验后,将所得物质混合并过滤,得到一种无色溶液.经测定,该溶液显酸性.则在该溶液中一定含有的离子是    .为了验证该溶液中可能含有的阴离子是否存在,请按如下实验进行验证.
溶液中可能含有的离子设计实验验证(实验步骤、现象及对应的结论)
       

查看答案和解析>>

科目: 来源:2012年江苏省南京市玄武区中考化学二模试卷(解析版) 题型:填空题

2011年9月,某牙膏被曝含有致癌物“三氯生”而引起消费者的焦虑,于是同学们开展了对牙膏成分及作用的探究,经过查阅资料得知:
(1)很多品牌牙膏都标有“含氟”字样,其中的“氟”是指   
A.氟单质 B.氟元素  C.氟原子
(2)牙膏去污主要是利用了摩擦作用.某品牌牙膏中的摩擦剂是碳酸钙,为了检验并测定牙膏中碳酸钙的质量分数,同学们取了10g牙膏,加入足量稀盐酸并搅拌.实验过程中记录并处理数据形成如图曲线,该品牌牙膏中碳酸钙的质量分数为多少?
(3)用作牙膏摩擦剂的轻质碳酸钙可以石灰石来制备,工业上主要生产流程如下:

①“煅烧炉”中发生反应的化学方程式是:    ,在“反应池”中主要发生反应的化学方程式是:   
②“沉淀池”中生石灰与水充分反应后可得到颗粒非常细小的熟石灰浆,熟石灰浆为   
    (选填“悬浊液”或“溶液”或“乳浊液”).
③有人建议在上述流程中用CO2替代“碳酸钠溶液”.这样做的优点是   
小王查阅资料后得知:
a.二氧化碳持续通入氢氧化钙溶液发生如下反应:
CO2+Ca(OH)2=CaCO3↓+H2O,CaCO3+H2O+CO2=Ca(HCO32
b.碳酸氢钙微溶于水,微热易分解:Ca(HCO32CaCO3↓+H2O+CO2↑;
为了防止利用该法制得的轻质碳酸钙中混有Ca(HCO32,操作2中必需要进行的一步操作是   

查看答案和解析>>

科目: 来源:2012年湖北省宜昌市秭归县归州中学中考化学模拟试卷(一)(解析版) 题型:选择题

空气中含量较多且性质活泼的气体是( )
A.氧气
B.氮气
C.二氧化碳
D.水蒸气

查看答案和解析>>

科目: 来源:2012年湖北省宜昌市秭归县归州中学中考化学模拟试卷(一)(解析版) 题型:选择题

我们经常看到下列现象,其中发生了化学变化的是( )
A.粉笔折断
B.瓷碗破碎
C.火药爆炸
D.冰块融化

查看答案和解析>>

科目: 来源:2012年湖北省宜昌市秭归县归州中学中考化学模拟试卷(一)(解析版) 题型:选择题

人们在工作生活中为了防止事故,常采取一些安全措施.下列措施安全的是( )
A.到溶洞探险打火把照明
B.清理沼气池前先进行火把实验
C.用点燃的木条检查液化石油气是否泄露
D.到小煤窑里挖煤用火把照明

查看答案和解析>>

科目: 来源:2012年湖北省宜昌市秭归县归州中学中考化学模拟试卷(一)(解析版) 题型:选择题

某校组织学生进行水资源状况调查,调查报告中的下述观点错误的是( )
A.地球表面约71%被水覆盖,可利用的淡水资源十分丰富
B.水的污染加重了淡水危机
C.可以考虑海水淡化解决淡水危机,蒸馏法是海水淡化的方法之一
D.节约用水是每个公民的义务

查看答案和解析>>

科目: 来源:2012年湖北省宜昌市秭归县归州中学中考化学模拟试卷(一)(解析版) 题型:选择题

下表是小明制定的食谱单,为使营养均衡,在“你的补充”栏可以选填的食物是( )
主食:米饭、馒头;  副食:烧鸡块、咸鸭蛋、红烧鱼、花生米;  饮料:牛奶   你的补充:…
A.凉拌黄瓜
B.糖醋鱼
C.熊掌豆腐
D.蛋糕

查看答案和解析>>

同步练习册答案