相关习题
 0  84301  84309  84315  84319  84325  84327  84331  84337  84339  84345  84351  84355  84357  84361  84367  84369  84375  84379  84381  84385  84387  84391  84393  84395  84396  84397  84399  84400  84401  84403  84405  84409  84411  84415  84417  84421  84427  84429  84435  84439  84441  84445  84451  84457  84459  84465  84469  84471  84477  84481  84487  84495  211419 

科目: 来源:2012年四川省资阳市中考化学模拟试卷(二)(解析版) 题型:填空题

现对某固体混合物鉴别如下,请合理做出推断:
(1)无色滤液中一定含有    ,若滤液中阳离子是钠离子,请写出无色滤液A产生白色沉淀的化学方程式:   
(2)白色沉淀B可能是:    ,请写出B与稀盐酸反应的化学方程式:   

查看答案和解析>>

科目: 来源:2012年四川省资阳市中考化学模拟试卷(二)(解析版) 题型:填空题

如图为A、B两种固体物质的溶解度曲线.
(1)在    ℃时,A、B两种物质的溶解度相等.
(2)t2℃时,100g水中溶解    gA物质恰好饱和,该溶液中溶质的质量分数为    .若要把该饱和溶液稀释成质量分数为1 0%的溶液,应加水    g.
(3)t2℃时,分别将恰好饱和的A、B两种物质的溶液降温至t1℃,溶质的质量分数保持不变的是   

查看答案和解析>>

科目: 来源:2012年四川省资阳市中考化学模拟试卷(二)(解析版) 题型:填空题

查元素周期表,完成下列各题:
(1)由原子序数为1、7、8三种元素组成的化肥的化学式为   
(2)某粒子的结构示意图为 ,该粒子的元素属    元素(填“金属”或“非金属”),该粒子的化学符号是   

查看答案和解析>>

科目: 来源:2012年四川省资阳市中考化学模拟试卷(二)(解析版) 题型:填空题

减少二氧化碳排放,减缓全球气体变暖是当今世界要解决的重大环境问题,这一问题的解决地人类社会的发展极为重要.
(1)近年来大气中二氧化碳含量不断上升的主要原因是   
(2)下列变化中,对维持大气中二氧化碳气体总量平衡至关重要的是    (填序号)
A.CO2+H2O=H2CO3      B.6CO2+6H2OC6H12O6+6O2
C.CO2+C2CO      D.CO2+2NaOH=Na2CO3+H2O
(3)科学家采用新技术,将二氧化碳和氢气以一定比例混合,在一定条件下发生了如下反应:2CO2+6H2=4H2O+X,则X的化学式为   
(4)为减缓大气中二氧化碳含量的增加,以下建议可行的是    (填序号).
①开发太阳能、水能、风能等新能源;
②禁止使用煤、石油、天然气等化石燃料;
③大力植树造林,禁止乱砍滥伐.

查看答案和解析>>

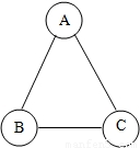
科目: 来源:2012年四川省资阳市中考化学模拟试卷(二)(解析版) 题型:解答题

A、B、C是三种不同类别的含有氧元素的化合物,物质间相互反应的关系如图所示(图中“─”表示相连的两种物质能在溶液中发生反应).若B为纯碱,A、C间的反应为复分解反应,回答下列问题:
(1)物质A、B、C的化学式是
A______ B______  C______
(2)物质A和C在溶液中反应的化学方程式是______.
(3)纯碱是一种用途是______.

查看答案和解析>>

科目: 来源:2012年四川省资阳市中考化学模拟试卷(二)(解析版) 题型:填空题

某化学课外活动小组进行了一系列的实验探究,请按要求回答:
(1)小强想用高锰酸钾制取纯净的氧气,他应选择上述装置中的A和    (填字母)进行组装.你认为A装置中还缺少    .该反应的化学方程式为   
(2)若要制取并收集CO2应选择的装置是    (填字母).
(3)实验室在常温下用块状电石与水反应制取微溶于水的乙炔气体,该反应必须严格控制加水速度,以免剧烈反应放热引起发生装置炸裂.你认为B装置应如何改进才符合要求   

查看答案和解析>>

科目: 来源:2012年四川省资阳市中考化学模拟试卷(二)(解析版) 题型:填空题

某小组同学在协助老师整理化学试剂时,发现一瓶标签残缺的无色液体(如图)(温馨提示:标签上的5%表示该混合物中主要成分所占的质量分数).他们对此瓶无色液体是什么产生了兴趣,于是进行了如下探究.
[大胆猜想]
猜想一:水    猜想二:稀硫酸    猜想三:过氧化氢溶液
小组同学对标签又进行了仔细的观察、分析,他们一致认为猜想一不合理.理由是   
[设计方案]
同学们结合所学知识设计出如下探究方案:
向盛有少量二氧化锰的试管中加入适量的该液体,并将带火星的木条放在试管口.
[实验与事实]
按上述方案进行实验,发现有大量气泡产生,带火星的木条复燃.
[结论与解释]
(1)以上事实证明猜想    是正确的;
(2)产生气体的反应可用化学方程式表为   
[反思与评价]
(1)在实验中,某同学提出应该先将气体收集,然后用带火星的木条检验,你认为    (填“有”或“没有”)必要.
(2)为避免在今后的实验中出现标签残缺的情况,在倾倒液体时应注意   

查看答案和解析>>

科目: 来源:2012年四川省资阳市中考化学模拟试卷(二)(解析版) 题型:解答题

为了测定黄铜(铜、锌合金)的组成,某研究性学习小组称取该样品10g,向其中逐滴加入9.8%的稀硫酸至刚好不再产生气体为止.反应过程中生成的气体与所用硫酸溶液的质量关系如图所示.试计算:
(1)样品中铜的质量分数;
(2)反应所消耗的硫酸溶液质量;
(3)反应后所得溶液的溶质的质量分数.

查看答案和解析>>

科目: 来源:2012年宁夏银川市中考化学模拟试卷(一)(解析版) 题型:选择题

下列变化属于化学变化的是( )

A.气密性检查
B.鸡蛋壳中加食醋
C.灯泡通电发光
D.胆矾的研碎

查看答案和解析>>

科目: 来源:2012年宁夏银川市中考化学模拟试卷(一)(解析版) 题型:选择题

2011年5月,台湾传出“毒饮料事件”,一些厂商在饮料中违法添加了塑化剂,它是塑料软化剂,被禁止添加在食品里.塑化剂的下列性质属于化学性质的是( )
A.无色黏稠液体
B.熔点-50℃
C.有慢性毒性
D.溶于多数有机溶剂

查看答案和解析>>

同步练习册答案