相关习题
 0  84814  84822  84828  84832  84838  84840  84844  84850  84852  84858  84864  84868  84870  84874  84880  84882  84888  84892  84894  84898  84900  84904  84906  84908  84909  84910  84912  84913  84914  84916  84918  84922  84924  84928  84930  84934  84940  84942  84948  84952  84954  84958  84964  84970  84972  84978  84982  84984  84990  84994  85000  85008  211419 

科目: 来源:2012年甘肃省兰州市中考化学试卷(解析版) 题型:填空题

水是生命之源,也是人类最宝贵的资源.用你学过的化学知识回答下列问题:
(1)自然界中的水都不是纯水,净水时需加入明矾的目的是   
(2)欲除去水中不溶性杂质,需进行过滤操作,该操作过程中玻璃棒所起的作用是   
(3)生活中为降低水的硬度并杀灭水中病原生物,可采用的方法是   
(4)某同学在完成电解水实验时,发现正极产生了10mL气体,则负极产生的气体体积是    .该实验能够说明水是由氢元素与氧元素组成的理论依据是   

查看答案和解析>>

科目: 来源:2012年甘肃省兰州市中考化学试卷(解析版) 题型:填空题

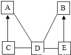
A、B、C、D、E是初中化学中常见的不同类别的物质(物质按单质、氧化物、酸、碱、盐分类).已知A是单质;C是红棕色固体;E是水溶液可使酚酞试液变为红色的盐.图中“-”表示相连的物质两两之间可以发生反应,“→”表示由某一物质可制得另一物质(部分反应物、生成物及反应条件已略去).回答下列问题:
(1)写出下列物质的化学式:A    ,E   
(2)由E转化为B的化学方程式为    ;由C转化为A的原理在工业上常用于   

查看答案和解析>>

科目: 来源:2012年甘肃省兰州市中考化学试卷(解析版) 题型:解答题

膳食合理,营养均衡是健康的基本保证.
(1)食物的成分主要有蛋白质、______、油脂、维生素、无机盐和水等六大类,通常称为营养素.下列食品中富含蛋白质的是______(填写序号).
①菠菜        ②鸡蛋         ③花生油          ④米饭           ⑤牛奶
(2)人体缺______会得夜盲症.目前市场上有“加铁酱油”、“补钙剂”、“加碘食盐”等,这些铁、钙、碘应理解为______(填写序号).
①原子        ②分子         ③元素           ④单质.

查看答案和解析>>

科目: 来源:2012年甘肃省兰州市中考化学试卷(解析版) 题型:解答题

根据如图中a、b、c三种物质的溶解度曲线,回答下列问题:
(1)P点表示在t1℃两物质的溶解度关系为b______c(填“>”、“<”或“=”).
(2)t2℃,a、b、c三种物质的饱和溶液溶质质量分数的大小关系为______.
(3)t2℃时,50g b物质加入到50g水中充分溶解后,所得溶液的质量为______.
(4)b中含有少量的a,若要提纯b,可采用______结晶的方法.

查看答案和解析>>

科目: 来源:2012年甘肃省兰州市中考化学试卷(解析版) 题型:解答题

2012年1月,广西河池宜州市境内龙江河发生了镉浓度超标事件.根据该事件某化学活动小组开展了一次关于金属镉与铜、银活动性顺序的探究及镉污染事故处理方法的研讨活动.
查阅资料:①镉(Cd)是一种银白色金属,在化合物中通常表现为+2价   ②水体中镉元素通常以氯化镉的形式存在       ③氯化镉能溶于水,氢氧化镉难溶于水
(一)金属镉与铜、银活动性顺序的探究
实验步骤实验现象实验结论
取适量镉、铜、银于试管中,加入足量______镉表面有气泡产生,铜、银表面无气泡产生镉的活动性顺序大于铜与银
取适量铜于试管中,加入少量硝酸银溶液______,
______.
铜的活动性顺序大于银
实验结论:活动性顺序:镉>铜>银
(二)对镉污染事故处理方法的讨论
小聪认为可用向受污染河段抛撒过量烧碱固体的方法除去氯化镉,反应原理用化学方程式表示为______.小敏认为该方案虽然有效,但有缺陷,原因是______.受小聪与小敏启发,你认为可以用______(写俗称)代替烧碱.

查看答案和解析>>

科目: 来源:2012年甘肃省兰州市中考化学试卷(解析版) 题型:解答题

下列是初中化学常见的四个实验,回答下列问题:

(1)A实验中集气瓶内预先装少量水的目的是______.
(2)B实验中导致实验结果偏小的原因是______(只写一个).
(3)C实验中该操作将导致所配溶液溶质质量分数______(填“偏大”、“偏小”或“不变”).
(4)D实验中待______时,应停止加热.

查看答案和解析>>

科目: 来源:2012年甘肃省兰州市中考化学试卷(解析版) 题型:解答题

下列装置常用于实验室制取气体.根据给出的装置回答下列问题:

(1)指出编号仪器名称:①______;②______.
(2)实验室利用A装置制取氧气,反应原理用化学方程式表示为______△2KCl+3O2

查看答案和解析>>

科目: 来源:2012年甘肃省兰州市中考化学试卷(解析版) 题型:解答题

2011年12月,网上报道某公司非法使用草甘膦转基因大豆.草甘膦(化学式为C3H8NO5P)是一种有机磷除草剂,白色结晶,易溶于水、乙醇等,不可燃,常温下稳定.计算:
(1)草甘膦中碳元素与氧元素的质量比为______.
(2)草甘膦中磷元素的质量分数为______.(精确到01.%)
(3)33.8克草甘膦中含有多少克磷元素?(写出计算步骤,精确到小数点后一位)

查看答案和解析>>

科目: 来源:2012年甘肃省兰州市中考化学试卷(解析版) 题型:解答题

某化学兴趣小组为了测定某黄铜(铜、锌合金)样品中锌的质量分数,取10克样品放入烧杯中,再取60克稀硫酸分六次加入烧杯中,俊充分反应,实验数据如下:
第一次第二次第三次第四次第五次第六次
加入稀硫酸的质量(g)101010101010
剩余固体的质量(g)9.358.78.057.46.756.75
(1)黄铜样品中锌的质量分数为多少?(写出计算步骤,下同)
(2)所用稀硫酸的质量分数为多少?

查看答案和解析>>

科目: 来源:2012年广东省湛江市中考化学试卷(解析版) 题型:选择题

2011世界化学年的主题是“人类的生活,人类的未来”.下列叙述能体现这一主题的是( )
A.合成药物让人类更健康
B.大力发展火力发电,解决湛江电力紧张问题
C.为提高农作物的产量,应大量使用化肥和农药
D.为改善食物的色、香、味并防止变质,可在其中加入大量的食物添加剂

查看答案和解析>>

同步练习册答案