相关习题
 0  84854  84862  84868  84872  84878  84880  84884  84890  84892  84898  84904  84908  84910  84914  84920  84922  84928  84932  84934  84938  84940  84944  84946  84948  84949  84950  84952  84953  84954  84956  84958  84962  84964  84968  84970  84974  84980  84982  84988  84992  84994  84998  85004  85010  85012  85018  85022  85024  85030  85034  85040  85048  211419 

科目: 来源:2012年四川省遂宁市中考化学试卷(解析版) 题型:选择题

将下列各组物质分别加入水中,能大量共存且得到无色透明溶液的是( )
A.Na2CO3、CaCl2、NaOH
B.NaCl、KNO3、CuSO4
C.Ba(NO32、NaCl、Na2SO4
D.K2SO4、KCl、NaNO3

查看答案和解析>>

科目: 来源:2012年四川省遂宁市中考化学试卷(解析版) 题型:选择题

如图为某化学反应的微观示意图,其中“○”和“●”表示不同元素的原子.下列说法正确的是( )

A.该反应有两种生成物
B.该反应属于化合反应
C.反应前后分子的种类没变
D.参加反应的“”和“”分子个数比是2:1

查看答案和解析>>

科目: 来源:2012年四川省遂宁市中考化学试卷(解析版) 题型:填空题

用化学用语 表示:
(1)两个氮原子    ;(2)三个氢离子   

查看答案和解析>>

科目: 来源:2012年四川省遂宁市中考化学试卷(解析版) 题型:填空题

化学就在我们身边,它与我们生活息息相关.
(1)全面、均衡地从食物中摄取营养物质,是人体健康的基本保证.在鸡蛋、米饭、青菜、菜籽油四种食物中富含糖类的是   
(2)铝、铁是人类广泛使用的两种金属,在空气中    制品(填“铝”或“铁”)更易被锈蚀.
(3)遂宁是四川省第一个获得“森林城市”的地级市,“森林遂宁”的实施有助于改善我们的居住环境,因为绿色植物能吸收二氧化碳,并释放出氧气,其反应原理为:6CO2+6H2OX+6O2,其中X的化学式为   
A、CH4   B、CH3OH      C、C2H5OH     D、C6H12O6
(4)“酒驾”是近年来热门话题之一,交警检查驾驶员是否酒驾后驾车,可用一种装有重铬酸钾(K2Cr2O7)的仪器,重铬酸钾中铬元素(Cr)的化合价为   

查看答案和解析>>

科目: 来源:2012年四川省遂宁市中考化学试卷(解析版) 题型:填空题

如图是A、B、C三种物质的溶解度曲线,请你根据此图完成下列问题:
(1)30℃时,向100g水中加入40gA物质,充分溶解后所得溶液是    (填“饱和”或“不饱和”)溶液;
(2)把等质量的A、B、C三种物质的饱和溶液同时从30℃降温到20℃,其中溶质质量分数没有发生改变的是    物质的溶液.

查看答案和解析>>

科目: 来源:2012年四川省遂宁市中考化学试卷(解析版) 题型:填空题

下图中A、B、C、D是四种粒子的结构示意图,E是钾元素在元素周期表中的信息图.

(1)A、B、C、D四种粒子的结构示意图中,属于同种元素的粒子是    (填序号);
(2)D图中X=   
(3)从E图中你可以获得的信息有    (写一条).

查看答案和解析>>

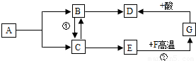
科目: 来源:2012年四川省遂宁市中考化学试卷(解析版) 题型:填空题

A、B、C、D、E、F、G都是初中化学常见的物质,其中C、D、E都是无色气体,C能供给动植物的呼吸,F是一种红色粉末.图中→表示物质间存在转化关系(部分生成物和部分反应条件已略去),它们之间的关系如图所示:

(1)写出A的化学式:   
(2)写出反应①的化学方程式   
(3)写出反应②的化学方程式   

查看答案和解析>>

科目: 来源:2012年四川省遂宁市中考化学试卷(解析版) 题型:填空题

化学兴趣小组的同学们走进实验室,做制取二氧化碳气体的实验,请你参与他们的活动.
(1)根据下列装置图,请按要求回答问题:

①写出图中带有标号仪器的名称:a   
②实验室制取二氧化碳气体时应选用的发生装置为    (填装置的序号),不能用C装置来收集二氧化碳气体的原因是   
(2)实验室的废液缸内收集了同学们制取二氧化碳气体后的废液,李凡同学想探究废液中溶质的成分,请你参与下列探究活动.【提出问题】废液中的溶质是什么?
【做出假设】李凡认为废液中溶质只有CaCl2.你认为还可能含有的溶质是    (填化学式);
【查阅资料】CaCl2溶液呈中性.
【实验与结论】
①李凡取少量该废液放入一支试管中,再取少量CaCl2溶液加入到另一支试管中,并向两支试管中滴入无色酚酞试液做对比实验,结果溶液均为无色,于是李凡认为自己的猜想是正确的.你认为李凡的实验    (填“能”或“不能”)证明他的猜想.
②如果要证明你的猜想是正确的,取少量该废液加入到一支试管中,你滴入的试剂是    ,看到的现象将是试管中液体变为红色.
【拓展与应用】如果已证明你的猜想是正确的,要想使处理后的废液中溶质只有CaCl2,可向废液中加入过量的    (填字母序号),充分反应后过滤即可.
A、石灰石   B、生石灰    C、石灰石粉末     D、硝酸银溶液.

查看答案和解析>>

科目: 来源:2012年四川省遂宁市中考化学试卷(解析版) 题型:填空题

黄铜是锌和铜的合金,可以用来制造机器零件及日常用品.为了测定某粉末状黄铜样品中锌的质量分数,取10g这种样品放入烧杯中,再将40g稀盐酸分四次加入到该烧杯中,均充分反应.测得的实验数据如下表:
实验次数1234
稀盐酸的用量10g10g10g10g
剩余固体的质量8.7g7.4g6.7g6.7g
分析表中数据,完成下列问题:
(1)在第    次实验结束时样品中的锌就已完全反应.
(2)计算该黄铜样品中锌的质量分数.
(3)计算所用稀盐酸的溶质质量分数.

查看答案和解析>>

科目: 来源:2012年江苏省镇江市中考化学试卷(解析版) 题型:选择题

化学与生活、环境、资源、能源等密切相关.下列说法正确的是( )
A.废易拉罐属于不可回收垃圾
B.提倡大量使用塑料超薄袋
C.亚硝酸钠有咸味,可以代替食盐作调味品
D.开发太阳能等新能源,减少对化石燃料的依赖

查看答案和解析>>

同步练习册答案