相关习题
 0  85577  85585  85591  85595  85601  85603  85607  85613  85615  85621  85627  85631  85633  85637  85643  85645  85651  85655  85657  85661  85663  85667  85669  85671  85672  85673  85675  85676  85677  85679  85681  85685  85687  85691  85693  85697  85703  85705  85711  85715  85717  85721  85727  85733  85735  85741  85745  85747  85753  85757  85763  85771  211419 

科目: 来源:2012年广东省茂名市中考化学模拟试卷(二)(解析版) 题型:解答题

小丽和几位同学在实验室用下列装置制取几种气体.

(1)写出图中有标号的仪器的名称:①______;  ②______.
(2)小丽用高锰酸钾制取氧气,他选择上述装置中的A和______(填字母)进行组装.写出该反应的化学方程式为______ K2MnO4+MnO2+O2

查看答案和解析>>

科目: 来源:2012年广东省茂名市中考化学模拟试卷(二)(解析版) 题型:解答题

化学实验小组的同学在实验结束进行废弃物处理时,将Ca(OH)2溶液与Na2CO3溶液倒入指定的洁净容器静置后,发现容器底部有白色不溶物存在,上层为无色清液.由于反应的两种物质的用量不同,上层清液中溶质可能有多种组成,因此他们决定对上层清液中溶质的组成进行探究.
[提出问题]上层清液里可能含有哪些溶质呢?
[猜想与假设]
甲同学猜想可能含有NaOH和Ca(OH)2;乙同学猜想可能含有NaOH、Na2CO3和Ca(OH)2;丙同学猜想可能恰好完全反应只含NaOH;丁同学猜想可能含有______.
[实验验证]请你对甲同学的猜想,设计一个简单的实验加以证明.
实验步骤实验现象实验结论
甲同学的猜想成立
[反思与评价]
(1)小组同学选用了两种不同类别的试剂进行实验,都证明了甲同学猜想,并得出结论--Ca(OH)2存在.请写出相关的化学方程式:
试剂①______
试剂②______
(2)你认为乙、丙同学的猜想都合理吗?如有错误,请分析原因是______
(3)若上层清液中含有两种物质,则溶质的可能组成有以下几种(写化学式):______.

查看答案和解析>>

科目: 来源:2012年广东省茂名市中考化学模拟试卷(二)(解析版) 题型:解答题

向盛有22.3 g Na2CO3和NaCl固体混合物的烧杯中加入216.1 g稀盐酸恰好反应,反应过程用精密仪器测得烧杯连同药品的质量(m)与反应时间(t)的关系如下图所示:烧杯连同药品的起始质量为300 g.回答下列问题:
(1)当固体混合物与稀盐酸恰好完全反应时,所需时间约为______S.
(2)完全反应后,产生二氧化碳气体质量______g.
(3)反应后,得到室温下的不饱和溶液.所得溶液中溶质的质量分数为多少?

查看答案和解析>>

科目: 来源:2012年黑龙江省哈尔滨市中考化学模拟试卷(六)(解析版) 题型:选择题

2008年9月28日,哈尔滨地铁一期工程正式开工.一期工程自西向东,横贯城市中心区,全长14.33公里,建设期4年.下列有关认识不正确的是( )
A.可有效的缓解市区交通压力
B.建设地铁使用的钢材属于合成材料
C.建设地铁将消耗大量资
D.地铁建成后,能使百姓出行更方便快捷

查看答案和解析>>

科目: 来源:2012年黑龙江省哈尔滨市中考化学模拟试卷(六)(解析版) 题型:选择题

图书馆是确保消防安全的重要场所,据此判断图书馆不需要出现的图标是( )

A.①②③
B.①④
C.③⑤
D.③④⑤

查看答案和解析>>

科目: 来源:2012年黑龙江省哈尔滨市中考化学模拟试卷(六)(解析版) 题型:选择题

日常生活中下列做法不正确的是( )
A.不应该用钢丝球洗刷铝制炊具
B.食品袋里充人氮气延长食品的保质期
C.厨房中的天然气大量泄露时,立即关闭气阀,打开门窗通风
D.用食盐水除去铁钉表面的铁锈

查看答案和解析>>

科目: 来源:2012年黑龙江省哈尔滨市中考化学模拟试卷(六)(解析版) 题型:选择题

下列常见现象中,不发生化学变化的是( )
A.火箭发射
B.铝表面生成红色铜
C.干冰升华
D.雕像腐蚀

查看答案和解析>>

科目: 来源:2012年黑龙江省哈尔滨市中考化学模拟试卷(六)(解析版) 题型:选择题

下列与人体健康有关的叙述正确的是( )
A.服用熟石灰治疗胃酸过多症
B.城市的“地沟油”经过加工处理后,可作为食用油
C.铁、锌、碘、硒是人体所需的常量元素
D.海产品和加碘盐可以提供一定量的碘元素

查看答案和解析>>

科目: 来源:2012年黑龙江省哈尔滨市中考化学模拟试卷(六)(解析版) 题型:选择题

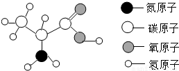
丙氨酸是形成蛋白质的一种氨基酸,下列关于丙氨酸说法不正确的是( )

A.丙氨酸是由多原子的分子构成的化合物
B.丙氨酸分子中的质子数和电子数比为1:l
C.丙氨酸分子中含有13个原子核
D.丙氨酸由碳、氢、氧、氮四种元素组成高温

查看答案和解析>>

科目: 来源:2012年黑龙江省哈尔滨市中考化学模拟试卷(六)(解析版) 题型:选择题

下列应用及相应原理(用化学方程式表示)都正确的是( )
A.高炉炼铁C+Fe2O3═Fe+CO2
B.生石灰作干燥剂CaO+H2O═Ca(OH)2
C.加熟石灰研磨,检验铵态氮肥Ca(OH)2+2NH4NO3═CaNO3+NH3↑+H2O
D.用小苏打治疗胃酸过多Na2C03+2HCl═2NaCl+H20+C02

查看答案和解析>>

同步练习册答案