¿ÆÑ§¼ÒÃǽ«ÄÐÐÔ¡¢Å®ÐÔÌåϸ°ûÄÚµÄȾɫÌå½øÐÐÕûÀí£¬ÐγÉÁËÏÂÁÐÅÅÐòͼ£®Çë·ÖÎö»Ø´ð£º

£¨1£©´ÓͼÖпÉÒÔ¿´³ö£¬ÔÚÈ˵ÄÌåϸ°ûÖУ¬È¾É«ÌåÊÇ______´æÔڵģ®È¾É«ÌåÊÇÓɵ°°×ÖʺÍ______Á½ÖÖÎïÖÊ×é³ÉµÄ£®
£¨2£©¸ù¾ÝȾɫÌå×é³É¿ÉÒÔÅжϣ¬ÒÒΪ______£¨Ìî¡°ÄС±»ò¡°Å®¡±£©ÐÔµÄȾɫÌå×é³É£®ÒÒ²úÉúµÄÉúֳϸ°ûÖк¬ÓÐ______ÌõȾɫÌ壮
£¨3£©Èô¼×¡¢ÒÒÊÇÒ»¶Ô·ò¸¾£¬Ôò¼×²úÉúµÄÉúֳϸ°ûÓëÒÒ²úÉúµÄº¬ÓÐ______ȾɫÌåµÄÉúֳϸ°û½áºÏ£¬ËùÉúºó´úµÄÐÔ±ð±íÏÖΪŮÐÔ£®
£¨4£©¼×¡¢ÒÒµÄÑÛíúÐÔ×´¾ù±íÏÖΪ˫ÑÛÆ¤£¬È´ÉúÁËÒ»¸öµ¥ÑÛÆ¤µÄº¢×Ó£®ÈôËûÃÇÔÙÉúÒ»¸öº¢×Ó£¬±íÏÖΪµ¥ÑÛÆ¤µÄ¿ÉÄÜÐÔÊÇ______£®
¡¾´ð°¸¡¿·ÖÎö£º´ËÌ⿼²éµÄ֪ʶµãÊÇÈ˵ÄÐÔ±ðµÄÒÅ´«£®½â´ðʱ¿ÉÒÔ´ÓÈ˵ÄÐÔ±ðÒÅ´«Í¼½â·½ÃæÀ´ÇÐÈ룮
½â´ð£º½â£º£¨1£©È¾É«ÌåÊÇϸ°ûºËÖÐÈÝÒ×±»¼îÐÔȾÁÏȾ³ÉÉîÉ«µÄÎïÖÊ£¬È¾É«ÌåÊÇÓÉDNAºÍµ°°×ÖÊÁ½ÖÖÎïÖÊ×é³É£»Ã¿Ò»ÖÖÉúÎïϸ°ûÄÚȾɫÌåµÄÐÎ̬ºÍÊýÄ¿¶¼ÊÇÒ»¶¨µÄ£®ÔÚÌåϸ°ûÖгɶԣ¬ÔÚÉúֳϸ°ûÖгɵ¥£®´ÓͼÖпÉÒÔ¿´³ö£¬ÔÚÈ˵ÄÌåϸ°ûÖУ¬È¾É«ÌåÊdzɶÔ23¶Ô£®È¾É«ÌåÊÇÓÉDNAºÍµ°°×ÖÊÁ½ÖÖÎïÖÊ×é³É£®
£¨2£©¸ù¾ÝȾɫÌå×é³É¼×µÚ23¶ÔȾɫÌåÊÇXX£¬ÒÒµÚ23¶ÔΪXY£¬Òò´Ë¿ÉÒÔÅжϣ¬¼×ΪŮÐÔ£¬ÒÒΪÈËÄÐÐÔµÄȾɫÌå×é³É£®ÒÒ²úÉúµÄÉúֳϸ°ûÖк¬ÓÐ23ÌõȾɫÌå¼´£¨22Ìõ+X£©»ò£¨22Ìõ+Y£©£®£¨3£©´ÓÐÔȾɫÌåµÄÀ´Ô´¿´£¬ÊÇÉúÄл¹ÊÇÉúÅ®£¬Ö÷Òª¾ö¶¨ÓÚ´Ó¸¸Ç×ÄÇÀïµÃµ½µÄȾɫÌåÊÇX»¹ÊÇY£®ÊÇX¾ÍÊÇÅ®¶ù£¬ÊÇY¾ÍÊǶù×Ó£®Èô¼×¡¢ÒÒÊÇÒ»¶Ô·ò¸¾£¬Ôò¼×²úÉúµÄÉúֳϸ°ûÓëÒÒ²úÉúµÄº¬ÓÐXȾɫÌåµÄÉúֳϸ°û½áºÏ£¬ËùÉúºó´úµÄÐÔ±ð±íÏÖΪŮÐÔ£®
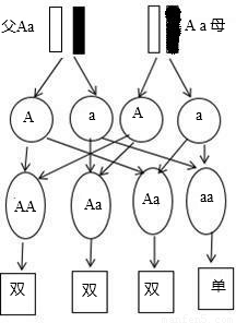
£¨4£©¼×¡¢ÒÒµÄÑÛíúÐÔ×´¾ù±íÏÖΪ˫ÑÛÆ¤£¬È´ÉúÁËÒ»¸öµ¥ÑÛÆ¤µÄº¢×Ó£®±íÃ÷¿ØÖƵ¥ÑÛÆ¤µÄ»ùÒòÊÇÒþÐÔ»ùÒò£¬ÒòΪº¢×ӵĻùÒòÒ»¶¨ÊÇ´Ó¸¸Ä¸ÄÇÀïµÃÀ´µÄ£¬¶ø¸¸Ä¸ÊÇË«ÑÛÆ¤£®¿ØÖÆË«ÑÛÆ¤µÄ»ùÒòÊÇÏÔÐÔ»ùÒò£®¼ÙÉè¿ØÖÆË«ÑÛÆ¤µÄ»ùÒòÊÇA£¬¿ØÖƵ¥ÑÛÆ¤µÄ»ùÒòÊÇa£®¸¸Ä¸µÄ»ùÒòÊÇAa£¬ÈôËûÃÇÔÙÉúÒ»¸öº¢×Ó£¬±íÏÖΪµ¥ÑÛÆ¤µÄ¿ÉÄÜÐÔÈçͼ£º
Òò´ËÊÇ25%£®
¹Ê´ð°¸Îª£º
£¨1£©³É¶Ô£»DNA£»
£¨2£©ÄУ»23£»
£¨3£©X£»
£¨4£©25%£®
µãÆÀ£º½â´ð´ËÀàÌâÄ¿µÄ¹Ø¼üÊÇÀí½âÈËÀàµÄÐÔ±ðÒÅ´«¹ý³Ì£®
Á·Ï°²áϵÁдð°¸
Ïà¹ØÏ°Ìâ

¿ÆÄ¿£º³õÖÐÉúÎï À´Ô´£º ÌâÐÍ£º

£¨2010?Ôæ×¯£©¿ÆÑ§¼ÒÃǽ«ÄÐÐÔ¡¢Å®ÐÔÌåϸ°ûÄÚµÄȾɫÌå½øÐÐÕûÀí£¬ÐγÉÁËÏÂÁÐÅÅÐòͼ£®Çë·ÖÎö»Ø´ð£º

£¨1£©´ÓͼÖпÉÒÔ¿´³ö£¬ÔÚÈ˵ÄÌåϸ°ûÖУ¬È¾É«ÌåÊÇ
³É¶Ô
³É¶Ô
´æÔڵģ®È¾É«ÌåÊÇÓɵ°°×ÖʺÍ
DNA
DNA
Á½ÖÖÎïÖÊ×é³ÉµÄ£®
£¨2£©¸ù¾ÝȾɫÌå×é³É¿ÉÒÔÅжϣ¬ÒÒΪ
ÄÐ
ÄÐ
£¨Ìî¡°ÄС±»ò¡°Å®¡±£©ÐÔµÄȾɫÌå×é³É£®ÒÒ²úÉúµÄÉúֳϸ°ûÖк¬ÓÐ
23
23
ÌõȾɫÌ壮
£¨3£©Èô¼×¡¢ÒÒÊÇÒ»¶Ô·ò¸¾£¬Ôò¼×²úÉúµÄÉúֳϸ°ûÓëÒÒ²úÉúµÄº¬ÓÐ
X
X
ȾɫÌåµÄÉúֳϸ°û½áºÏ£¬ËùÉúºó´úµÄÐÔ±ð±íÏÖΪŮÐÔ£®
£¨4£©¼×¡¢ÒÒµÄÑÛíúÐÔ×´¾ù±íÏÖΪ˫ÑÛÆ¤£¬È´ÉúÁËÒ»¸öµ¥ÑÛÆ¤µÄº¢×Ó£®ÈôËûÃÇÔÙÉúÒ»¸öº¢×Ó£¬±íÏÖΪµ¥ÑÛÆ¤µÄ¿ÉÄÜÐÔÊÇ
25%
25%
£®

²é¿´´ð°¸ºÍ½âÎö>>

¿ÆÄ¿£º³õÖÐÉúÎï À´Ô´£º ÌâÐÍ£º

£¨2011?Çൺ£©¿ÆÑ§¼ÒÃǽ«ÄÐÐÔ¡¢Å®ÐÔÌåϸ°ûÄÚµÄȾɫÌå½øÐÐÕûÀí£¬ÐγÉÁËÏÂÁÐÅÅÐòͼ£®Çë¹Û²ì·ÖÎö»Ø´ðÓйØÎÊÌ⣮
£¨1£©´ÓÅÅÐòͼ¿ÉÒÔ¿´³ö£¬ÔÚÈ˵ÄÌåϸ°ûÖУ¬È¾É«ÌåÊÇ
³É¶Ô
³É¶Ô
´æÔڵģ®
£¨2£©Í¼
ÒÒ
ÒÒ
ÊÇÄÐÐÔȾɫÌåµÄÅÅÐòͼ£¬Æä²úÉúµÄÉúֳϸ°ûÖк¬ÓÐ
23
23
ÌõȾɫÌ壮
£¨3£©Èô¼×¡¢ÒÒÊÇÒ»¶ÔË«ÑÛÆ¤·ò¸¾£¨¿ØÖÆÑÛíúµÄ»ùÒòΪD¡¢d£©£¬ÉúÁËÒ»¸öµ¥ÑÛÆ¤º¢×Ó£®Ôò
µ¥ÑÛÆ¤
µ¥ÑÛÆ¤
ÊÇÒþÐÔÐÔ×´£¬µ¥ÑÛÆ¤º¢×ӵĻùÒò×é³ÉÊÇ
dd
dd
£®
£¨4£©ÓÐЩÈËÈÏΪ£¬ÉúÄÐÉúÅ®µÄÔðÈÎÈ«ÔÚÅ®·½£¬ÕâÖÖÏë·¨ÊÇ·ñÕýÈ·£¿
²»ÕýÈ·
²»ÕýÈ·
£®Êµ¼ÊÉÏÉúÄÐÉúŮȡ¾öÓÚ
ºÍÂÑϸ°û½áºÏµÄ¾«×ÓÀàÐÍ
ºÍÂÑϸ°û½áºÏµÄ¾«×ÓÀàÐÍ
£®

²é¿´´ð°¸ºÍ½âÎö>>

¿ÆÄ¿£º³õÖÐÉúÎï À´Ô´£º ÌâÐÍ£º

£¨2013?Ò˱öÏØ¶þÄ££©¿ÆÑ§¼ÒÃǽ«ÄÐÐÔ¡¢Å®ÐÔÌåϸ°ûÄÚµÄȾɫÌå½øÐÐÕûÀí£¬ÐγÉÁËÏÂÁÐÅÅÐòͼ£®Çë¹Û²ì·ÖÎö»Ø´ðÓйØÎÊÌ⣮

£¨1£©´ÓÅÅÐòͼ¿ÉÒÔ¿´³ö£¬ÔÚÈ˵ÄÌåϸ°ûÖУ¬È¾É«ÌåÊÇ
³É¶Ô
³É¶Ô
´æÔڵ쬹²¼Æ
46
46
Ìõ£®
£¨2£©Í¼
¼×
¼×
ÊÇÄÐÐÔȾɫÌåµÄÅÅÐòͼ£¬ÐÔȾɫÌåÊǵÚ
23
23
¶Ô£¬Æä²úÉúµÄÉúֳϸ°ûÖдӺ¬ÓеÄÐÔȾɫÌåÀ´Ëµ
2
2
ÖÖ£®
£¨3£©Èô¼×¡¢ÒÒÊÇÒ»¶Ô·ò¸¾£¬ËûÃǵÚһ̥ÉúÁ˸öÅ®¶ù£¬¼Æ»®ÉúÓýµÚ¶þÌ¥£¬ÔòµÚ¶þÌ¥ÉúÄк¢µÄ¼¸ÂÊΪ
50
50
%£®
£¨4£©Èô¼×Ϊ˫ÑÛÆ¤¡¢ÒÒΪµ¥ÑÛÆ¤£¨¿ØÖÆÑÛíúµÄ»ùÒòΪD¡¢d£©£¬ËûÃÇÉúµÄµÚһ̥Ϊµ¥ÑÛÆ¤º¢×Ó£¬Ôò
µ¥ÑÛÆ¤
µ¥ÑÛÆ¤
ÊÇÒþÐÔÐÔ×´£¬ÒҺͺ¢×ӵĻùÒò×é³É·Ö±ðÊÇ
aa
aa
ºÍ
aa
aa
£®
£¨5£©ÒÒͨ¹ýÊÖÊõ±äΪ˫ÑÛÆ¤ºó£¬ÄãÈÏΪÒÒµÄË«ÑÛÆ¤ÐÔ×´»áÒÅ´«Âð£¿
²»»á
²»»á
£®

²é¿´´ð°¸ºÍ½âÎö>>

¿ÆÄ¿£º³õÖÐÉúÎï À´Ô´£º ÌâÐÍ£º

¿ÆÑ§¼ÒÃǽ«ÄÐÐÔ¡¢Å®ÐÔÌåϸ°ûÄÚµÄȾɫÌå½øÐÐÕûÀí£¬ÐγÉÁËÏÂÁÐÅÅÐòͼ
¾«Ó¢¼Ò½ÌÍø
Çë·ÖÎö»Ø´ð£º
£¨1£©´ÓͼÖпÉÒÔ¿´³ö£¬ÔÚÈ˵ÄÌåϸ°ûÖУ¬È¾É«ÌåÊÇ
 
´æÔڵģ®È¾É«ÌåÊÇÓÉ
 
ºÍ
 
×é³ÉµÄ£¬ÆäÖУ¬
 
ÊÇÖ÷ÒªµÄÒÅ´«ÎïÖÊ£®
£¨2£©¸ù¾ÝȾɫÌå×é³É¿ÉÒÔÅжϣ¬ÒÒΪ
 
£¨Ìî¡°ÄС±»ò¡°Å®¡±£©ÐÔµÄȾɫÌå×é³É£®ÒÒ²úÉúµÄÉúֳϸ°ûÖк¬ÓÐ
 
ÌõȾɫÌ壮
£¨3£©Èô¼×¡¢ÒÒÊÇÒ»¶Ô·ò¸¾£¬Ôò¼×²úÉúµÄÉúֳϸ°ûÓëÒÒ²úÉúµÄº¬ÓÐ
 
ȾɫÌåµÄÉúֳϸ°û½áºÏ£¬ËùÉúºó´úµÄÐÔ±ð±íÏÖΪŮÐÔ£®
£¨4£©¼×¡¢ÒÒµÄÑÛíúÐÔ×´¾ù±íÏÖΪ˫ÑÛÆ¤£¬È´ÉúÁËÒ»¸öµ¥ÑÛÆ¤µÄº¢×Ó£®ÈôËûÃÇÔÙÉúÒ»¸öº¢×Ó£¬±íÏÖΪµ¥ÑÛÆ¤µÄ¿ÉÄÜÐÔÊÇ
 
£®
£¨5£©Èô¸ÃÅÅÐòͼ±íʾµÄÊǵçÊӾ硶ÏÊ»¨¶ä¶ä¡·ÖÐÆß¸öÅ®¶ù¸¸Ä¸µÄȾɫÌå×é³É£¬¼ÙÈçËûÃÇÔÙÉúһ̥£¬ÊÇÄк¢µÄ¿ÉÄÜÐÔΪ
 
£®
£¨6£©Õý³£È˵ÄȾɫÌåÊýÄ¿ÊÇÏà¶Ôºã¶¨µÄ£¬Õâ¶ÔÉúÃü»î¶¯µÄÕý³£½øÐзdz£ÖØÒª£®Èç¹ûÈ˵Äϸ°ûÖжàÁË»òÉÙÁËÒ»ÌõȾɫÌ壬¶¼¿ÉÄܵ¼ÖÂ
 
£®

²é¿´´ð°¸ºÍ½âÎö>>

¿ÆÄ¿£º³õÖÐÉúÎï À´Ô´£º ÌâÐÍ£º

¿ÆÑ§¼ÒÃǽ«ÄÐÐÔ¡¢Å®ÐÔÌåϸ°ûÄÚµÄȾɫÌå½øÐÐÕûÀí£¬ÐγÉÁËÅÅÐòͼ£®Çë·ÖÎö»Ø´ð£º
¾«Ó¢¼Ò½ÌÍø
£¨1£©´ÓͼÖпÉÒÔ¿´³ö£¬ÔÚÈ˵ÄÌåϸ°ûÖУ¬È¾É«ÌåÊÇ
 
 ´æÔڵģ® ¼×µÄÌåϸ°ûÖÐȾɫÌåµÄ×é³É¿É±íʾΪ
 

£¨2£©È¾É«ÌåÊÇÓÉ
 
ºÍ
 
Á½ÖÖÎïÖÊ×é³ÉµÄ£®Õý³£È˵ÄÌåϸ°ûÖеÄȾɫÌåÓÐÁ½À࣬ÓëÐÔ±ð¾ö¶¨Î޹صÄÊÇ
 
£¬ÓëÐÔ±ð¾ö¶¨ÓйصÄÊÇ
 

£¨3£©ÒÒΪ
 
£¨Ìî¡°ÄС±»ò¡°Å®¡±£©ÐÔµÄȾɫÌå×é³É£®ÄãÅжϵÄÒÀ¾ÝÊÇ
 
£¬ÒÒ²úÉúµÄÉúֳϸ°ûÖк¬ÓÐ
 
ÌõȾɫÌ壮
£¨4£©Èô¼×¡¢ÒÒÊÇÒ»¶Ô·ò¸¾£¬Ôò¼×²úÉúµÄÉúֳϸ°ûÓëÒÒ²úÉúµÄº¬ÓÐ
 
ȾɫÌåµÄÉúֳϸ°û½áºÏ£¬ËùÉúºó´úµÄÐÔ±ð±íÏÖΪŮÐÔ£®
£¨5£©¶ÔÏÈÌìÐÔÓÞÐÍ»¼Õß½øÐÐȾɫÌå¼ì²é£¬¿ÉÒÔ¿´µ½»¼Õß±ÈÕý³£È˶àÁËÒ»Ìõ21ºÅȾɫÌ壮ҽѧÉϽ«´ËÀಡ³ÆÎª
 
£®

²é¿´´ð°¸ºÍ½âÎö>>

ͬ²½Á·Ï°²á´ð°¸