精英家教网 > 初中数学 > 题目详情
已知x为整数,且为整数,求所有符合条件的x值的和。

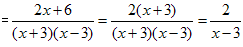
解:原式=



显然,当x-3=2,1,-2 或-1,
即x=5,4,2 或1 时,的值是整数,所以满足条件的数只有5,4,2,1四个,5+4+2+1=12。

练习册系列答案
  • 1加1阅读好卷系列答案
  • 专项复习训练系列答案
  • 初中语文教与学阅读系列答案
  • 阅读快车系列答案
  • 完形填空与阅读理解周秘计划系列答案
  • 英语阅读理解150篇系列答案
  • 奔腾英语系列答案
  • 标准阅读系列答案
  • 53English系列答案
  • 考纲强化阅读系列答案
  • 年级 高中课程 年级 初中课程
    高一 高一免费课程推荐! 初一 初一免费课程推荐!
    高二 高二免费课程推荐! 初二 初二免费课程推荐!
    高三 高三免费课程推荐! 初三 初三免费课程推荐!
    相关习题

    科目:初中数学 来源: 题型:

    (B题)已知A、B是数轴上的任意两点,分别表示数m、n,且点B在点A的右边,设A、B两点间的距离为d.
    (1)填写下表:
    n 5 0 -3 -4.5 2
    m 3 -5 -6 -6 -10
    d
    (2)请写出d与m、n之间的数量关系式;
    (3)已知A、B两点所表示的数分别为-100和100,点P为数轴上的整数点,若点P到A、B两点的距离之和等于200,距离之差大于20,求出符合条件的整数点P的个数以及这些整数的和.

    查看答案和解析>>

    科目:初中数学 来源: 题型:044

    已知抛物线.

    (1) 求证此抛物线与x轴有两个不同的交点;

    (2) 若m是整数,抛物线x轴交于整数点,求m的值;

    (3)在(2)的条件下,设抛物线的顶点为A,抛物线与x轴的两个交点中右侧交点为B. m为坐标轴上一点,且MA=MB,求点M的坐标.

    查看答案和解析>>

    科目:初中数学 来源: 题型:解答题

    2012年国家商务部发布了商务预报监测,猪肉价格在1~3月下跌后,已跌至肉价的最低点;而重庆市菜价,却在上演一轮5元一把的藤藤菜、12元/千克的蘑菇、30元/千克的黑豆的涨价潮,“菜价高于肉价”让普通百姓表示吃不起素.进入3月,随着本地蔬菜的大量上市,我市蔬菜价格普遍下降.以下是重庆某一超市3月份每周的蘑菇销售价格变化如下表:
    周数x1234
    价格y(元/千克)12643
    已知该超市3月份每周的蘑菇销售量z1(千克)与周数x(1≤x≤4,且x为整数)所满足的函数关系式数学公式;进入4月份,该超市每周的蘑菇销售价格稳定在3元/千克,每周的销售量z2(千克)与周数x(1≤x≤4,且x为整数)所满足的函数关系式为数学公式,且函数图象为下图所示:
    (1)请观察题中的表格及函数图象,用你所学过的一次函数、反比例函数或二次函数的有关知识,直接写出3月份每周的销售价格y(元/千克)与周数x(1≤x≤4,且x为整数)之间的函数关系式?并直接写出4月份每周的销售量z2(千克)与周数x(1≤x≤4,且x为整数)所满足的函数关系式?
    (2)求出3月和4月分别在哪一周销售此种蘑菇的销售额最大?且最大销售额分别是多少?
    (3)进入5月,重庆市由于受暴雨的影响,蔬菜运输道路堵塞,蔬菜及时供应困难,蘑菇的价格出现波动,5月的第1周蘑菇的销售价格比4月份上涨a%,销售量比4月的第4周增加0.5a%,5月份的第2周蘑菇的销售价格与5月的第1周持平,但销售量比第1周减少130千克,这样,要使5月份第2周的销售额达到4月份的最大销售额,求a的最小正整数值?(参考数据:数学公式

    查看答案和解析>>

    科目:初中数学 来源: 题型:

    已知关于x的方程 .

    (1)求证: 不论m为任何实数, 此方程总有实数根;

    (2)若抛物线轴交于两个不同的整数点,且为正整数,试确定此抛物线的解析式;

    (3)若点PQ在(2)中抛物线上 (点PQ不重合), 且y1=y2, 求代

    数式的值.

    查看答案和解析>>

    科目:初中数学 来源:不详 题型:解答题

    (B题)已知A、B是数轴上的任意两点,分别表示数m、n,且点B在点A的右边,设A、B两点间的距离为d.
    (1)填写下表:
    n 5 0 -3 -4.5 2
    m 3 -5 -6 -6 -10
    d
    (2)请写出d与m、n之间的数量关系式;
    (3)已知A、B两点所表示的数分别为-100和100,点P为数轴上的整数点,若点P到A、B两点的距离之和等于200,距离之差大于20,求出符合条件的整数点P的个数以及这些整数的和.

    查看答案和解析>>

    同步练习册答案