精英家教网 > 初中数学 > 题目详情

如图,点A、C、E在同一直线上,∠A=∠DCE,则图中与∠B一定相等的角是(  )

A. ∠BCD B. ∠ACB C. ∠A D. ∠DCE

练习册系列答案
相关习题

科目:初中数学 来源:海南海口市 2017年九年级数学中考模拟试卷(含答案) 题型:解答题

如图1,二次函数y1=(x﹣2)(x﹣4)的图象与x轴交于A、B两点(点A在点B的左侧),其对称轴l与x轴交于点C,它的顶点为点D.

(1)写出点D的坐标

(2)点P在对称轴l上,位于点C上方,且CP=2CD,以P为顶点的二次函数y2=ax2+bx+c(a≠0)的图象过点A.

①试说明二次函数y2=ax2+bx+c(a≠0)的图象过点B;

②点R在二次函数y1=(x﹣2)(x﹣4)的图象上,到x轴的距离为d,当点R的坐标为 时,二次函数y2=ax2+bx+c(a≠0)的图象上有且只有三个点到x轴的距离等于2d;

③如图2,已知0<m<2,过点M(0,m)作x轴的平行线,分别交二次函数y1=(x﹣2)(x﹣4)y2=ax2+bx+c(a≠0)的图象于点E、F、G、H(点E、G在对称轴l左侧),过点H作x轴的垂线,垂足为点N,交二次函数y1=(x﹣2)(x﹣4)的图象于点Q,若△GHN∽△EHQ,求实数m的值.

查看答案和解析>>

科目:初中数学 来源:天津市 2017年九年级数学中考模拟试卷(含答案) 题型:单选题

要使式子有意义,则x的取值范围是(  )

A. x>0 B. x≥-2 C. x≥2 D. x≤2

查看答案和解析>>

科目:初中数学 来源:广西北海市2016-2017学年七年级下学期期末考试数学试卷 题型:填空题

观察下列各式及其展开式:

(a+b)2=a2+2ab+b2;

(a+b)3=a3+3a2b+3ab2+b3;

(a+b)4=a4+4a3b+6a2b2+4ab3+b4;

(a+b)5=a5+5a4b+10a3b2+10a2b3+5ab4+b5;

请你猜想(a+b)10的展开式第三项的系数是________.

查看答案和解析>>

科目:初中数学 来源:广西北海市2016-2017学年七年级下学期期末考试数学试卷 题型:单选题

某村小为了了解各年级留守儿童的数量,对一到六年级留守儿童数量进行了统计,得到每个年级的留守儿童人数分别为10,15,10,17,18,20.对于这组数据,下列说法错误的是(  )

A. 中位数是17 B. 众数是10 C. 平均数是15 D. 方差是

查看答案和解析>>

科目:初中数学 来源:广西北海市2016-2017学年七年级下学期期末考试数学试卷 题型:单选题

下列图形中,不是轴对称图形的是(  )

A. B. C. D.

查看答案和解析>>

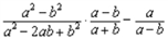
科目:初中数学 来源:湖北武汉市 2017年九年级数学中考模拟试卷(含答案) 题型:解答题

先化简,再求值:,其中

查看答案和解析>>

科目:初中数学 来源:湖北武汉市 2017年九年级数学中考模拟试卷(含答案) 题型:单选题

若a、b、c都是有理数,那么2a﹣3b+c的相反数是( )

A. 3b﹣2a﹣c B. ﹣3b﹣2a+c C. 3b﹣2a+c D. 3b+2a﹣c

查看答案和解析>>

科目:初中数学 来源:重庆合川区凉亭中学 2017年九年级数学中考模拟试卷(含答案) 题型:解答题

为方便市民通行,某广场计划对坡角为30°,坡长为60 米的斜坡AB进行改造,在斜坡中点D 处挖去部分坡体(阴影表示),修建一个平行于水平线CA 的平台DE 和一条新的斜坡BE.

(1)若修建的斜坡BE 的坡角为36°,则平台DE的长约为多少米?

(2)在距离坡角A点27米远的G处是商场主楼,小明在D点测得主楼顶部H 的仰角为30°,那么主楼GH高约为多少米?

(结果取整数,参考数据:sin 36°=0.6,cos 36°=0.8,tan 36°=0.7,=1.7)

查看答案和解析>>

同步练习册答案