精英家教网 > 初中数学 > 题目详情

某经销商销售一批电话手表,第一个月以550元/块的价格售出60块,第二个月起降价,以500元/块的价格将这批电话手表全部售出,销售总额超过了5.5万元.这批电话手表至少有__________块.

练习册系列答案
相关习题

科目:初中数学 来源:江苏省2017届九年级下学期第三次模拟考试数学试卷 题型:填空题

9的平方根是____________.

查看答案和解析>>

科目:初中数学 来源:山东省淄博市2016-2017学年八年级下学期期中考试数学试卷 题型:解答题

袋中装有红、黄、绿三种颜色的球若干个,每个球只有颜色不同.现从中任意摸出一个球,得到红球的概率为,得到黄球的概率为.已知绿球有3个,问袋中原有红球、黄球各多少个?

查看答案和解析>>

科目:初中数学 来源:山东省淄博市2016-2017学年八年级下学期期中考试数学试卷 题型:单选题

二元一次方程5x-11y=21 ( )

A. 只有一组解 B. 只有两组解 C. 无解 D. 有无数组解

查看答案和解析>>

科目:初中数学 来源:江苏省泰兴市2016-2017学年七年级下学期期末考试数学试卷 题型:解答题

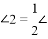
(1)完成下面的推理说明:

已知:如图,,分别平分.

求证:.

证明:分别平分(已知),

, ( ).

( ),

( ).

( ).

(等式的性质).

( ).

(2)说出(1)的推理中运用了哪两个互逆的真命题.

查看答案和解析>>

科目:初中数学 来源:江苏省泰兴市2016-2017学年七年级下学期期末考试数学试卷 题型:填空题

如图,AB∥CD,则∠1+∠3—∠2的度数等于 __________.

查看答案和解析>>

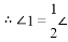
科目:初中数学 来源:江苏省泰兴市2016-2017学年七年级下学期期末考试数学试卷 题型:单选题

如图,在Rt△ABC中,∠BAC=90°,AB=AC,点A,点C分别在直线a,b上,且a∥b.若∠1=60°,则∠2的度数为( )

A. 75° B. 105° C. 135° D. 155°

查看答案和解析>>

科目:初中数学 来源:江苏省泰兴市2016-2017学年七年级下学期期末考试数学试卷 题型:填空题

已知,且,那么的值为________.

查看答案和解析>>

科目:初中数学 来源:江苏省扬州市2016-2017学年七年级下学期第一次月考数学试卷 题型:填空题

如图,直线a∥b,∠C=90°,则∠α= °.

查看答案和解析>>

同步练习册答案