¼×¡¢ÒÒ¡¢±ûÈý¸öµç×Ó³§ÔÚ¹ã¸æÖж¼Éù³Æ£¬ËûÃǵÄijÖÖµç×Ó²úÆ·ÔÚÕý³£Çé¿öϵÄʹÓÃÊÙÃü¶¼ÊÇ8Ä꣬¾­Öʼ첿ÃŶÔÕâÈý¼Òµç×Ó³§ÏúÊ۵IJúÆ·µÄʹÓÃÊÙÃü½øÐиú×Ùµ÷²é£¬Í³¼Æ½á¹ûÈçÏ£º£¨µ¥Î»£ºÄ꣩
¼×³§£º4¡¢5¡¢5¡¢7¡¢4¡¢9¡¢13¡¢12¡¢15¡¢6
ÒÒ³§£º6¡¢8¡¢8¡¢6¡¢9¡¢10¡¢12¡¢15¡¢14¡¢8
±û³§£º4¡¢6¡¢7¡¢4¡¢4¡¢9¡¢13¡¢16¡¢16¡¢15
Èç¹ûÄúÊǹ˿ͣ¬ÒËÑ¡¹ºÄļҵç×Ó³§µÄ²úÆ·£¿ËµÃ÷ÀíÓÉ¡£
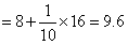
½â£º£¬
£¨-2+0+0 -2+1+2+4+7+6+0£©£¬
£¨-4-2-1-4-4+1+5+8+8+7£©£¬
¡à+£¨5-8£©2+£¨5-8£©2+£¨7-8£©2+£¨4-8£©2+£¨9-8£©2+£¨13-8£©2+£¨12-8£©2+£¨15-8£©2+£¨6-8£©2]£¬
£¬
¡à£¬
ӦѡÒÒ³§²úÆ·£®
Á·Ï°²áϵÁдð°¸
Ïà¹ØÏ°Ìâ

¿ÆÄ¿£º³õÖÐÊýѧ À´Ô´£º ÌâÐÍ£º

¼×¡¢ÒÒ¡¢±ûÈý¸öµç×Ó³§ÔÚ¹ã¸æÖж¼Éù³Æ£¬ËüÃǵÄijÖÖµç×Ó²úÆ·ÔÚÕý³£Çé¿öϵÄʹÓÃÊÙÃü¶¼ÊÇ8Ä꣬¾­ÖʼಿÃŶÔÕâÈý¼ÒÏúÊ۵IJúÆ·µÄʹÓÃÊÙÃü½øÐиú×Ùµ÷²é£¬Í³¼Æ½á¹ûÈçÏ£º£¨µ¥Î»£ºÄ꣩
¼×³§£º4¡¢5¡¢5¡¢7¡¢4¡¢9¡¢13¡¢12¡¢15¡¢16
ÒÒ³§£º6¡¢8¡¢8¡¢6¡¢9¡¢10¡¢12¡¢15¡¢14¡¢8
±û³§£º4¡¢6¡¢7¡¢4¡¢4¡¢9¡¢13¡¢16¡¢16¡¢15
Èç¹ûÄãÊǹ˿ͣ¬ÒËÑ¡¹ºÄļҵç×Ó³§µÄ²úÆ·£¿ËµÃ÷ÀíÓÉ£®

²é¿´´ð°¸ºÍ½âÎö>>

¿ÆÄ¿£º³õÖÐÊýѧ À´Ô´£º ÌâÐÍ£º

£¨±¾Ð¡ÌâÂú·Ö10·Ö£©¼×¡¢ÒÒ¡¢±ûÈý¸öµç×Ó³§ÔÚ¹ã¸æÖж¼Éù³Æ£¬ËüÃǵÄijÖÖµç×Ó²úÆ·ÔÚÕý³£Çé¿öϵÄʹÓÃÊÙÃü¶¼ÊÇ8Ä꣬¾­ÖʼಿÃŶÔÕâÈý¼ÒÏúÊ۵IJúÆ·µÄʹÓÃÊÙÃü½øÐиú×Ùµ÷²é£¬Í³¼Æ½á¹ûÈçÏ£º£¨µ¥Î»£ºÄ꣩

¼×³§£º4¡¢5¡¢5¡¢7¡¢4¡¢9¡¢13¡¢12¡¢15¡¢16

ÒÒ³§£º 6¡¢8¡¢8¡¢6¡¢9¡¢10¡¢12¡¢15¡¢14¡¢8

±û³§£º4¡¢6¡¢7¡¢4¡¢4¡¢9¡¢13¡¢16¡¢16¡¢15

Èç¹ûÄãÊǹ˿ͣ¬ÒËÑ¡¹ºÄļҵç×Ó³§µÄ²úÆ·£¿ËµÃ÷ÀíÓÉ.

 

²é¿´´ð°¸ºÍ½âÎö>>

¿ÆÄ¿£º³õÖÐÊýѧ À´Ô´£º ÌâÐÍ£º

£¨±¾Ð¡ÌâÂú·Ö10·Ö£©¼×¡¢ÒÒ¡¢±ûÈý¸öµç×Ó³§ÔÚ¹ã¸æÖж¼Éù³Æ£¬ËüÃǵÄijÖÖµç×Ó²úÆ·ÔÚÕý³£Çé¿öϵÄʹÓÃÊÙÃü¶¼ÊÇ8Ä꣬¾­ÖʼಿÃŶÔÕâÈý¼ÒÏúÊ۵IJúÆ·µÄʹÓÃÊÙÃü½øÐиú×Ùµ÷²é£¬Í³¼Æ½á¹ûÈçÏ£º£¨µ¥Î»£ºÄ꣩
¼×³§£º4¡¢5¡¢5¡¢7¡¢4¡¢9¡¢13¡¢12¡¢15¡¢16
ÒÒ³§£º6¡¢8¡¢8¡¢6¡¢9¡¢10¡¢12¡¢15¡¢14¡¢8
±û³§£º4¡¢6¡¢7¡¢4¡¢4¡¢9¡¢13¡¢16¡¢16¡¢15
Èç¹ûÄãÊǹ˿ͣ¬ÒËÑ¡¹ºÄļҵç×Ó³§µÄ²úÆ·£¿ËµÃ÷ÀíÓÉ.

²é¿´´ð°¸ºÍ½âÎö>>

¿ÆÄ¿£º³õÖÐÊýѧ À´Ô´£º2010-2011ѧÄêɽ¶«Ê¡Î«·»ÊÐËÄÏØÊаËÄê¼¶ÏÂѧÆÚÆÚÄ©ÖÊÁ¿¼ì²âÊýѧÊÔ¾í ÌâÐÍ£º½â´ðÌâ

£¨±¾Ð¡ÌâÂú·Ö10·Ö£©¼×¡¢ÒÒ¡¢±ûÈý¸öµç×Ó³§ÔÚ¹ã¸æÖж¼Éù³Æ£¬ËüÃǵÄijÖÖµç×Ó²úÆ·ÔÚÕý³£Çé¿öϵÄʹÓÃÊÙÃü¶¼ÊÇ8Ä꣬¾­ÖʼಿÃŶÔÕâÈý¼ÒÏúÊ۵IJúÆ·µÄʹÓÃÊÙÃü½øÐиú×Ùµ÷²é£¬Í³¼Æ½á¹ûÈçÏ£º£¨µ¥Î»£ºÄ꣩
¼×³§£º4¡¢5¡¢5¡¢7¡¢4¡¢9¡¢13¡¢12¡¢15¡¢16
ÒÒ³§£º6¡¢8¡¢8¡¢6¡¢9¡¢10¡¢12¡¢15¡¢14¡¢8
±û³§£º4¡¢6¡¢7¡¢4¡¢4¡¢9¡¢13¡¢16¡¢16¡¢15
Èç¹ûÄãÊǹ˿ͣ¬ÒËÑ¡¹ºÄļҵç×Ó³§µÄ²úÆ·£¿ËµÃ÷ÀíÓÉ.

²é¿´´ð°¸ºÍ½âÎö>>

¿ÆÄ¿£º³õÖÐÊýѧ À´Ô´£º2012½ìɽ¶«Ê¡Î«·»ÊÐËÄÏØÊаËÄê¼¶ÏÂѧÆÚÆÚÄ©ÖÊÁ¿¼ì²âÊýѧÊÔ¾í ÌâÐÍ£º½â´ðÌâ

£¨±¾Ð¡ÌâÂú·Ö10·Ö£©¼×¡¢ÒÒ¡¢±ûÈý¸öµç×Ó³§ÔÚ¹ã¸æÖж¼Éù³Æ£¬ËüÃǵÄijÖÖµç×Ó²úÆ·ÔÚÕý³£Çé¿öϵÄʹÓÃÊÙÃü¶¼ÊÇ8Ä꣬¾­ÖʼಿÃŶÔÕâÈý¼ÒÏúÊ۵IJúÆ·µÄʹÓÃÊÙÃü½øÐиú×Ùµ÷²é£¬Í³¼Æ½á¹ûÈçÏ£º£¨µ¥Î»£ºÄ꣩

¼×³§£º4¡¢5¡¢5¡¢7¡¢4¡¢9¡¢13¡¢12¡¢15¡¢16

ÒÒ³§£º 6¡¢8¡¢8¡¢6¡¢9¡¢10¡¢12¡¢15¡¢14¡¢8

±û³§£º4¡¢6¡¢7¡¢4¡¢4¡¢9¡¢13¡¢16¡¢16¡¢15

Èç¹ûÄãÊǹ˿ͣ¬ÒËÑ¡¹ºÄļҵç×Ó³§µÄ²úÆ·£¿ËµÃ÷ÀíÓÉ.

 

²é¿´´ð°¸ºÍ½âÎö>>

ͬ²½Á·Ï°²á´ð°¸