Àà±È¶þ´Îº¯ÊýµÄͼÏóµÄÆ½ÒÆ£¬ÎÒÃǶԷ´±ÈÀýº¯ÊýµÄͼÏó×÷ÀàËÆµÄ±ä»»£º
£¨1£©½«µÄͼÏóÏòÓÒÆ½ÒÆ1¸öµ¥Î»£¬ËùµÃͼÏóµÄº¯Êý±í´ïʽΪ______£¬ÔÙÏòÉÏÆ½ÒÆ1¸öµ¥Î»£¬ËùµÃͼÏóµÄº¯Êý±í´ïʽΪ_______£»
£¨2£©º¯ÊýµÄͼÏó¿ÉÓɵÄͼÏóÏò______Æ½ÒÆ______¸öµ¥Î»µÃµ½£»µÄͼÏó¿ÉÓÉÄĸö·´±ÈÀýº¯ÊýµÄͼÏó¾­¹ýÔõÑùµÄ±ä»»µÃµ½£¿
£¨3£©Ò»°ãµØ£¬º¯ÊýµÄͼÏó¿ÉÓÉÄĸö·´±ÈÀýº¯ÊýµÄͼÏó¾­¹ýÔõÑùµÄ±ä»»µÃµ½£¿
½â£º£¨1£©£¬£»
£¨2£©ÉÏ£¬1£¬¿Éת»¯Îª
ËüµÄͼÏó¿ÉÓÉ·´±ÈÀýº¯ÊýµÄͼÏóÏÈÏòÓÒÆ½ÒÆ2¸öµ¥Î»£¬ÔÙÏòÉÏÆ½ÒÆ1¸öµ¥Î»µÃµ½¡£
£¨3£©º¯ÊýÇÒ£©¿Éת»¯Îª
µ±Ê±£¬µÄͼÏó¿ÉÓÉ·´±ÈÀýº¯ÊýµÄͼÏóÏò×óÆ½ÒÆa¸öµ¥Î»£¬ÔÙÏòÉÏÆ½ÒÆ1¸öµ¥Î»µÃµ½
µ±Ê±£¬µÄͼÏó¿ÉÓÉ·´±ÈÀýº¯ÊýµÄͼÏóÏòÓÒÆ½ÒÆ-a¸öµ¥Î»£¬ÔÙÏòÉÏÆ½ÒÆ1¸öµ¥Î»µÃµ½¡£
Á·Ï°²áϵÁдð°¸
Ïà¹ØÏ°Ìâ

¿ÆÄ¿£º³õÖÐÊýѧ À´Ô´£º ÌâÐÍ£º

ÎÒÃÇѧ¹ý¶þ´Îº¯ÊýµÄͼÏóµÄÆ½ÒÆ£¬È磺½«¶þ´Îº¯Êýy=3x2µÄͼÏóÏò×óÆ½ÒÆ2¸öµ¥Î»£¬ÔÙÏòÏÂÆ½ÒÆ4¸öµ¥Î»£¬ËùͼÏóµÄº¯Êý±í´ïʽÊÇy=3£¨x+2£©2-4£®
Àà±È¶þ´Îº¯ÊýµÄͼÏóµÄÆ½ÒÆ£¬ÎÒÃǶԷ´±ÈÀýº¯ÊýµÄͼÏó×÷ÀàËÆµÄ±ä»»£º
£¨1£©½«y=
1
x
µÄͼÏóÏòÓÒÆ½ÒÆ1¸öµ¥Î»£¬ËùµÃͼÏóµÄº¯Êý±í´ïʽΪ
 
£¬ÔÙÏòÉÏÆ½ÒÆ1¸öµ¥Î»£¬ËùµÃͼÏóµÄº¯Êý±í´ïʽΪ
 
£»
£¨2£©º¯Êýy=
x+1
x
µÄͼÏó¿ÉÓÉy=
1
x
µÄͼÏóÏò
 
Æ½ÒÆ
 
¸öµ¥Î»µÃµ½£»y=
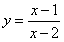
x-1
x-2
µÄͼÏó¿ÉÓÉÄĸö·´±ÈÀýº¯ÊýµÄͼÏó¾­¹ýÔõÑùµÄ±ä»»µÃµ½
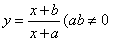
£¨3£©Ò»°ãµØ£¬º¯Êýy=
x+b
x+a
£¨ab¡Ù0£¬ÇÒa¡Ùb£©¿ÉÓÉÄĸö·´±ÈÀýº¯ÊýµÄͼÏó¾­¹ýÔõÑùµÄ±ä»»µÃµ½£®

²é¿´´ð°¸ºÍ½âÎö>>

¿ÆÄ¿£º³õÖÐÊýѧ À´Ô´£º ÌâÐÍ£º½â´ðÌâ

Àà±È¶þ´Îº¯ÊýµÄͼÏóµÄÆ½ÒÆ£¬ÎÒÃǶԷ´±ÈÀýº¯ÊýµÄͼÏó×÷ÀàËÆµÄ±ä»»£º
£¨1£©½«y=Êýѧ¹«Ê½µÄͼÏóÏòÓÒÆ½ÒÆ1¸öµ¥Î»£¬ËùµÃͼÏóµÄº¯Êý±í´ïʽΪ______£¬ÔÙÏòÉÏÆ½ÒÆ1¸öµ¥Î»£¬ËùµÃͼÏóµÄº¯Êý±í´ïʽΪ______£»
£¨2£©º¯Êýy=Êýѧ¹«Ê½µÄͼÏó¿ÉÓÉy=Êýѧ¹«Ê½µÄͼÏóÏò______Æ½ÒÆ______¸öµ¥Î»µÃµ½£»y=Êýѧ¹«Ê½µÄͼÏó¿ÉÓÉÄĸö·´±ÈÀýº¯ÊýµÄͼÏó¾­¹ýÔõÑùµÄ±ä»»µÃµ½£»
£¨3£©Ò»°ãµØ£¬º¯Êýy=Êýѧ¹«Ê½£¨ab¡Ù0£¬ÇÒa¡Ùb£©µÄͼÏó¿ÉÓÉÄĸö·´±ÈÀýº¯ÊýµÄͼÏó¾­¹ýÔõÑùµÄ±ä»»µÃµ½£¿

²é¿´´ð°¸ºÍ½âÎö>>

¿ÆÄ¿£º³õÖÐÊýѧ À´Ô´£ºµÚ30Õ¡¶·´±ÈÀýº¯Êý¡·Öп¼Ì⼯£¨16£©£º30.2 ·´±ÈÀýº¯ÊýµÄͼÏñºÍÐÔÖÊ£¨½âÎö°æ£© ÌâÐÍ£º½â´ðÌâ

Àà±È¶þ´Îº¯ÊýµÄͼÏóµÄÆ½ÒÆ£¬ÎÒÃǶԷ´±ÈÀýº¯ÊýµÄͼÏó×÷ÀàËÆµÄ±ä»»£º
£¨1£©½«y=µÄͼÏóÏòÓÒÆ½ÒÆ1¸öµ¥Î»£¬ËùµÃͼÏóµÄº¯Êý±í´ïʽΪ______£¬ÔÙÏòÉÏÆ½ÒÆ1¸öµ¥Î»£¬ËùµÃͼÏóµÄº¯Êý±í´ïʽΪ______£»
£¨2£©º¯Êýy=µÄͼÏó¿ÉÓÉy=µÄͼÏóÏò______Æ½ÒÆ______¸öµ¥Î»µÃµ½£»y=µÄͼÏó¿ÉÓÉÄĸö·´±ÈÀýº¯ÊýµÄͼÏó¾­¹ýÔõÑùµÄ±ä»»µÃµ½£»
£¨3£©Ò»°ãµØ£¬º¯Êýy=£¨ab¡Ù0£¬ÇÒa¡Ùb£©µÄͼÏó¿ÉÓÉÄĸö·´±ÈÀýº¯ÊýµÄͼÏó¾­¹ýÔõÑùµÄ±ä»»µÃµ½£¿

²é¿´´ð°¸ºÍ½âÎö>>

¿ÆÄ¿£º³õÖÐÊýѧ À´Ô´£º2006ÄêÈ«¹úÖп¼ÊýѧÊÔÌâ»ã±à¡¶·´±ÈÀýº¯Êý¡·£¨05£©£¨½âÎö°æ£© ÌâÐÍ£º½â´ðÌâ

£¨2006•ÁÙÒÊ£©Àà±È¶þ´Îº¯ÊýµÄͼÏóµÄÆ½ÒÆ£¬ÎÒÃǶԷ´±ÈÀýº¯ÊýµÄͼÏó×÷ÀàËÆµÄ±ä»»£º
£¨1£©½«y=µÄͼÏóÏòÓÒÆ½ÒÆ1¸öµ¥Î»£¬ËùµÃͼÏóµÄº¯Êý±í´ïʽΪ______£¬ÔÙÏòÉÏÆ½ÒÆ1¸öµ¥Î»£¬ËùµÃͼÏóµÄº¯Êý±í´ïʽΪ______£»
£¨2£©º¯Êýy=µÄͼÏó¿ÉÓÉy=µÄͼÏóÏò______Æ½ÒÆ______¸öµ¥Î»µÃµ½£»y=µÄͼÏó¿ÉÓÉÄĸö·´±ÈÀýº¯ÊýµÄͼÏó¾­¹ýÔõÑùµÄ±ä»»µÃµ½£»
£¨3£©Ò»°ãµØ£¬º¯Êýy=£¨ab¡Ù0£¬ÇÒa¡Ùb£©µÄͼÏó¿ÉÓÉÄĸö·´±ÈÀýº¯ÊýµÄͼÏó¾­¹ýÔõÑùµÄ±ä»»µÃµ½£¿

²é¿´´ð°¸ºÍ½âÎö>>

¿ÆÄ¿£º³õÖÐÊýѧ À´Ô´£º2013Äê³õÖÐÊýѧµ¥ÔªÌáÓŲâÊÔ¾í-·´±ÈÀýº¯ÊýµÄÐÔÖÊ¡¢kµÄ¼¸ºÎÒâÒ壨½âÎö°æ£© ÌâÐÍ£º½â´ðÌâ

Àà±È¶þ´Îº¯ÊýµÄͼÏóµÄÆ½ÒÆ£¬ÎÒÃǶԷ´±ÈÀýº¯ÊýµÄͼÏó×÷ÀàËÆµÄ±ä»»£º

£¨1£©½«y=µÄͼÏóÏòÓÒÆ½ÒÆ1¸öµ¥Î»£¬ËùµÃͼÏóµÄº¯Êý±í´ïʽΪ¡¡_________¡¡£¬ÔÙÏòÉÏÆ½ÒÆ1¸öµ¥Î»£¬ËùµÃͼÏóµÄº¯Êý±í´ïʽΪ¡¡_________¡¡£»

£¨2£©º¯Êýy=µÄͼÏó¿ÉÓÉy=µÄͼÏóÏò¡¡_________¡¡Æ½ÒÆ¡¡_________¡¡¸öµ¥Î»µÃµ½£»y=µÄͼÏó¿ÉÓÉÄĸö·´±ÈÀýº¯ÊýµÄͼÏó¾­¹ýÔõÑùµÄ±ä»»µÃµ½£»

£¨3£©Ò»°ãµØ£¬º¯Êýy=£¨ab¡Ù0£¬ÇÒa¡Ùb£©µÄͼÏó¿ÉÓÉÄĸö·´±ÈÀýº¯ÊýµÄͼÏó¾­¹ýÔõÑùµÄ±ä»»µÃµ½£¿

 

²é¿´´ð°¸ºÍ½âÎö>>

ͬ²½Á·Ï°²á´ð°¸