精英家教网 > 初中数学 > 题目详情
已知:如图所示,⊙O的直径AD=2,,∠BAE= 90°;
(1)求△CAD的面积;
(2)如果在这个圆形区域中,随机确定一个点P,那么点P落在四边形ABCD区域的概率是多少?

解:(1)∵AD为⊙O的直径,
∴∠ACD=∠BAE=90°,

∴∠BAC=∠CAD=∠DAE,
∴∠BAC=∠CAD=∠DAE=30°,
∵在Rt△ACD中,AD=2,CD=2sin30=1,AC=2cos30°=
∴S△ACD=AC×CD=
(2)连结BD,
∵∠ABD=90°,∠BAD═60°,
∴∠BDA=∠BCA=30°,
∴BA=BC,
作BF⊥AC,垂足为F,
∴AF=AC=
∴BF=AFtan30°=
∴S△ABC=AC×BF=
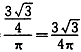
∴S四边形ABCD=
∵S⊙O=π,
∴P点落在四边形ABCD区域的概率=
练习册系列答案
相关习题

科目:初中数学 来源: 题型:

7、已知:如图所示,直线a,b都与直线c相交,给出下列条件:①∠1=∠2;②∠3=∠6;③∠4+∠7=180°;④∠5+∠8=180°.其中能判定a∥b的是(  )

查看答案和解析>>

科目:初中数学 来源: 题型:

精英家教网已知,如图所示,Rt△ABC的周长为4+2
3
,斜边AB的长为2
3
,则Rt△ABC的面积为
 

查看答案和解析>>

科目:初中数学 来源: 题型:

22、已知:如图所示,四边形ABCD是矩形,对角线AC,BD相交于点O,CE∥DB,交AB的延长线于点E,AC与CE相等吗?请说明理由.

查看答案和解析>>

科目:初中数学 来源: 题型:

24、已知:如图所示,在△ABC中,AB=AC,E在CA延长线上,AE=AF,AD是高,试判断EF与BC的位置关系,并说明理由.

查看答案和解析>>

科目:初中数学 来源: 题型:

已知:如图所示,正比例函数y=ax的图象与反比例函数y=
kx
的图象交于点A(3,2).
(1)试确定上述正比例函数和反比例函数的表达式;
(2)M(m,n)是反比例函数图象上的一动点,其中0<m<3,过点M作直线MB∥x轴,交y轴于点B;过点A作直线AC∥y轴交x轴于点C,交直线MB于点D.当四边形OADM的面积为6时,求M点坐标.

查看答案和解析>>

同步练习册答案