精英家教网 > 初中数学 > 题目详情

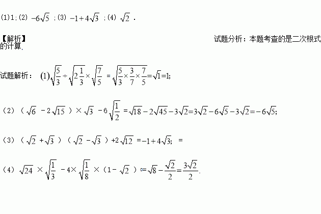
计算:

(2)(﹣2)×﹣6

(3)(+)(-)+2. (4)×﹣4××(1﹣)0;

练习册系列答案
相关习题

科目:初中数学 来源:安徽六安市 2017年 九年级数学中考模拟试卷(含答案) 题型:填空题

如图,等边△ABC及其内切圆与外接圆构成的图形中,若外接圆的半径为3,则图中阴影部分的面积为________.

查看答案和解析>>

科目:初中数学 来源:湖北省襄阳市襄城区2017年九年级适应性考试数学试卷 题型:解答题

如图,⊙O中,直径CD⊥弦AB于E,AM⊥BC于M,交CD于N,连接AD.

(1)求证:AD=AN;

(2)若AB=8,ON=1,求⊙O的半径.

查看答案和解析>>

科目:初中数学 来源:湖北省襄阳市襄城区2017年九年级适应性考试数学试卷 题型:单选题

如图,在△ABC中,∠C=90°,分别以点A,B为圆心,大于AB长为半径作弧,两弧分别交于M,N两点,过M,N两点的直线交AC于点E,若AC=8,BC=6,则AE的长为:

A. 2 B. 3 C. D.

查看答案和解析>>

科目:初中数学 来源:[中学联盟]辽宁省大石桥市水源镇九年一贯制学校2016-2017学年八年级下学期期中考试数学试卷 题型:解答题

如图,在△ABC中,CF⊥AB,BE⊥AC,M、N分别是BC、EF的中点,试说明MN⊥EF.

查看答案和解析>>

科目:初中数学 来源:[中学联盟]辽宁省大石桥市水源镇九年一贯制学校2016-2017学年八年级下学期期中考试数学试卷 题型:填空题

如图,□ABCD的对角线相交于点O,且AD≠CD,过点O作OM⊥AC,交AD于点M,如果△CDM的周长是10㎝,则□ABCD的周长为______________

查看答案和解析>>

科目:初中数学 来源:[中学联盟]辽宁省大石桥市水源镇九年一贯制学校2016-2017学年八年级下学期期中考试数学试卷 题型:单选题

平行四边形ABCD中,E,F是对角线BD上的两点, 如果添加一个条件使△ABE≌△CDF,则添加的条件不能是(  )

A. AE=CF B. BE=FD C. BF=DE D. ∠1=∠2

查看答案和解析>>

科目:初中数学 来源:吉林省长春市双阳区2016-2017学年八年级下学期4月月考数学试卷 题型:解答题

约分: =___.

查看答案和解析>>

科目:初中数学 来源:江苏省句容市华阳片2016-2017学年七年级下学期第一次月考数学试卷 题型:填空题

关于x、y的方程组,则x+y的值为___________.

查看答案和解析>>

同步练习册答案