精英家教网 > 初中数学 > 题目详情

(1)

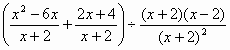
(2)先化简,再求值:,其中

答案:
解析:

  (1)解:原式=4+1-1+-1=3+

  (2)原式=

  =

  =

  =x-2


练习册系列答案
相关习题

科目:初中数学 来源: 题型:

先化简,再求值
2x-4
x2-4
÷
2x
x+2
-
2
x
,其中x=-1.

查看答案和解析>>

科目:初中数学 来源: 题型:

先化简:(1+
1
x+1
1
x2-1
,再选一个恰当的x值代入求值.

查看答案和解析>>

科目:初中数学 来源: 题型:

先化简:x(2-
1
x
)+
x
x2-2x
÷
1
x2-4
,再选取一个你喜欢的x的值代入求值.

查看答案和解析>>

科目:初中数学 来源: 题型:

先化简下式,再对x选取一个使原式有意义,而你又喜欢的数代入求值:(
x+2
x2-2x
-
x-1
x2-4x+4
x-4
x2-2x

查看答案和解析>>

科目:初中数学 来源: 题型:

(1)先化简,再选择你喜欢的又使原式有意义的一个x的值代入求值.
1
x-1
+
x+1
1-x
)÷(x+
x
x-1

(2)解方程:
1
x-2
+
1
x+2
=
3
(x+2)(x-2)

查看答案和解析>>

同步练习册答案