精英家教网 > 初中数学 > 题目详情

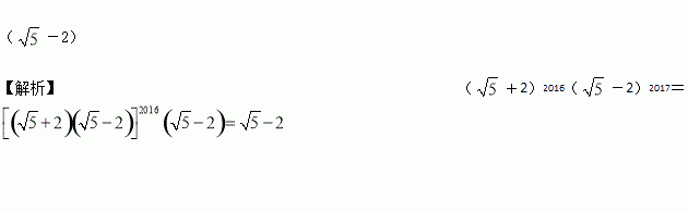
计算:(+2)2016(-2)2017=__________

练习册系列答案
相关习题

科目:初中数学 来源:福建省莆田市2016届九年级数学能力达标练习06 题型:填空题

某校八年级(二)班5位女生的体重(单位:kg)分别是:36,37,39,41,41. 则这组数据的中位数是________________.

查看答案和解析>>

科目:初中数学 来源:浙江省杭州市2016-2017学年七年级下学期期中考试数学试卷 题型:解答题

解不等式: .

查看答案和解析>>

科目:初中数学 来源:浙江省杭州市2016-2017学年七年级下学期期中考试数学试卷 题型:单选题

下列实数中,有理数是:

A. B. C. D. 0.101001001

查看答案和解析>>

科目:初中数学 来源:福建省2016-2017学年八年级3月月考数学试卷 题型:解答题

已知:如图,在四边形ABCD中,AD∥BC,∠A=∠ABC=90°,△BCD为等边三角形,且AD=2,求四边形ABCD的周长.(6分)

查看答案和解析>>

科目:初中数学 来源:福建省2016-2017学年八年级3月月考数学试卷 题型:单选题

如图所示,AB=BC=CD=DE=2,AB⊥BC,AC⊥CD,AD⊥DE,则AE=( )

A. B. 3 C. 4 D. 2

查看答案和解析>>

科目:初中数学 来源:福建省2016-2017学年八年级3月月考数学试卷 题型:单选题

下列各式中,属于最简二次根式的是( )

A. B. C. D.

查看答案和解析>>

科目:初中数学 来源:广西桂林市灌阳县2016-2017学年八年级下学期期中考试数学试卷 题型:单选题

如图,OP=1,过点P作PP1⊥OP且PP1=1,得OP1=;再过点P1作P1P2⊥OP1且P1P2=1,得OP2=;又过点P2作P2P3⊥OP2且P2P3=1,得OP3=2……依此法继续作下去,得OP2017=(   )

A. B. C. D.

查看答案和解析>>

科目:初中数学 来源:浙江省杭州市2016-2017学年七年级3月阶段性检测数学试卷 题型:解答题

解方程组或计算:

(1)

(2)

查看答案和解析>>

同步练习册答案