精英家教网 > 初中数学 > 题目详情

两块等腰直角三角形纸片AOB和COD按图1所示放置,直角顶点重合在点O处,AB=25,CD=17.保持纸片AOB不动,将纸片COD绕点O逆时针旋转α(0°<α<90°)角度,如图2所示.

(1)利用图2证明AC=BD且AC⊥BD;

(2)当BD与CD在同一直线上(如图3)时,求AC的长和α的正弦值.

练习册系列答案
相关习题

科目:初中数学 来源:浙江省丽水市2016-2017学年第二学期期末模拟浙教版八年级数学试卷(含答案) 题型:填空题

已知关于x的方程x2+kx+3=0的一个根为x=3,则方程的另一个根为

查看答案和解析>>

科目:初中数学 来源:天津市红桥区2017年九年级数学 中考预测卷(含答案) 题型:单选题

的值等于( )

A. B. C. D.

查看答案和解析>>

科目:初中数学 来源:2#240602#3#7#17#2017#辽宁省2017届九年级第二次模拟考试数学试卷#17#1 题型:填空题

一组数据-1,-2,x,1, 2的平均数为0,则这组数据的方差为__________.

查看答案和解析>>

科目:初中数学 来源:2#240602#3#7#17#2017#辽宁省2017届九年级第二次模拟考试数学试卷#17#1 题型:单选题

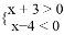
不等式组的解集是( )

A. -3<x<4 B. 3<x≤4 C. -3<x≤4 D. x<4

查看答案和解析>>

科目:初中数学 来源:2#240600#3#7#9#2017#湖北武汉市 2017年 九年级数学 中考模拟试卷(含答案)#9#1 题型:解答题

先化简再求值:,其中满足.

查看答案和解析>>

科目:初中数学 来源:2#240600#3#7#9#2017#湖北武汉市 2017年 九年级数学 中考模拟试卷(含答案)#9#1 题型:填空题

因式分【解析】
2a2﹣8=____________.

查看答案和解析>>

科目:初中数学 来源:2#240598#3#7#6#2017#广东省中山市小榄镇2017届九年级第一次模拟检测数学试卷#6#1 题型:解答题

先化简,再求值:(2a+b)2﹣a(4a+3b),其中a=1,b=

查看答案和解析>>

科目:初中数学 来源:2#240593#3#7#17#2017#辽宁省盘锦地区2017年中考二模数学试卷#17#3 题型:单选题

下列计算中,不正确的是(  )

A. B. C. D.

查看答案和解析>>

同步练习册答案