精英家教网 > 初中数学 > 题目详情
如图,在△ABC中,∠C=90°,AC=8,BC=6,P是AB边上的一个动点(异于A、B两点),过点P分别作AC、BC边的垂线,垂足为M、N,设AP=x。
(1)在△ABC中,AB=____;
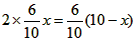
(2)当x=____时,矩形PMCN的周长是14;
(3)是否存在x的值,使得△PAM的面积、△PBN的面积与矩形PMCN的面积同时相等?请说出你的判断,并加以说明。
解:(1)∵△ABC为直角三角形,且AC=8,BC=6,

(2)5;
(3))∵PM⊥AC,PN⊥BC,
∴∠AMP=∠PNB=90°,
∴AC∥PN,
∴∠A=∠NPB,
∴△AMP∽△PNB∽△ABC,
∴由AP=x,
,PB=10-x,
若存在x的值,使得△PAM的面积、△PBN的面积与矩形PMCN的面积同时相等,
则有
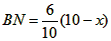
即2MP=BN,2NP=AM,

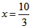
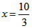
即3x=10,此时
∴存在能使得△PAM的面积、△PBN的面积与矩形PMCN面积同时相等的的值。
练习册系列答案
相关习题

科目:初中数学 来源: 题型:

20、如图,在△ABC中,∠BAC=45°,现将△ABC绕点A逆时针旋转30°至△ADE的位置,使AC⊥DE,则∠B=
75
度.

查看答案和解析>>

科目:初中数学 来源: 题型:

精英家教网如图,在△ABC中,∠ACB=90°,AC=BC=1,取斜边的中点,向斜边作垂线,画出一个新的等腰三角形,如此继续下去,直到所画出的直角三角形的斜边与△ABC的BC重叠,这时这个三角形的斜边为
(  )
A、
1
2
B、(
2
2
7
C、
1
4
D、
1
8

查看答案和解析>>

科目:初中数学 来源: 题型:

2、如图,在△ABC中,DE∥BC,那么图中与∠1相等的角是(  )

查看答案和解析>>

科目:初中数学 来源: 题型:

精英家教网如图,在△ABC中,AB=AC,且∠A=100°,∠B=
 
度.

查看答案和解析>>

科目:初中数学 来源: 题型:

14、如图,在△ABC中,AB=BC,边BC的垂直平分线分别交AB、BC于点E、D,若BC=10,AC=6cm,则△ACE的周长是
16
cm.

查看答案和解析>>

同步练习册答案