精英家教网 > 初中数学 > 题目详情
小明家所在居民楼的对面有一座大厦AB,AB=80米,为测量这座居民楼与大厦之间的距离,小明从自己家的窗户C处测得大厦顶部A的仰角为37°,大厦底部B的俯角为48°,求小明家所在居民楼与大厦的距离CD的长度。(结果保留整数)(参考数据:
解:设CD=x,
在Rt△ACD中,
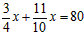
,则

在Rt△BCD中,


∵AD+BD=AB,

解得:x≈43,
答:小明家所在居民楼与大厦的距离CD大约是43米。
练习册系列答案
相关习题

科目:初中数学 来源: 题型:

精英家教网小明家所在居民楼的对面有一座大厦AB,AB=80米,为测量这座居民楼与大厦之间的距离,小明从自己家的窗户C处测得大厦顶部A的仰角为37°,大厦底部B的俯角为48°.求小明家所在居民楼与大厦的距离CD的长度.(结果保留整数)
(参考数据:sin37°≈
3
5
,tan37°≈
3
4
,sin48°≈
7
10
,tan48°≈
11
10

查看答案和解析>>

科目:初中数学 来源: 题型:

小明家所在居民楼的对面有一座大厦AB,AB=米.为测量这座居民楼与大厦之间的距离,小明从自己家的窗户C处测得大厦顶部A的仰角为37°,大厦底部B的俯角为48°.求小明家所在居民楼与大厦的距离CD的长度.(结果保留整数)(参考数据:

 

查看答案和解析>>

科目:初中数学 来源: 题型:

小明家所在居民楼的对面有一座大厦AB,AB=米.为测量这座居民楼与大厦之间的距离,小明从自己家的窗户C处测得大厦顶部A的仰角为37°,大厦底部B的俯角为48°.求小明家所在居民楼与大厦的距离CD的长度.(结果保留整数)(参考数据:

查看答案和解析>>

科目:初中数学 来源:2012届广东省广州市番禺区中考一模数学卷(带解析) 题型:解答题

小明家所在居民楼的对面有一座大厦AB米.为测量这座居民楼与大厦之间的距离,小明从自己家的窗户C处测得大厦顶部A的仰角为37°,大厦底部B的俯角为48°.求小明家所在居民楼与大厦的距离CD的长度.(结果保留整数)

查看答案和解析>>

科目:初中数学 来源:2011-2012学年广东省广州市番禺区中考一模数学卷(解析版) 题型:解答题

小明家所在居民楼的对面有一座大厦AB米.为测量这座居民楼与大厦之间的距离,小明从自己家的窗户C处测得大厦顶部A的仰角为37°,大厦底部B的俯角为48°.求小明家所在居民楼与大厦的距离CD的长度.(结果保留整数)

 

查看答案和解析>>

同步练习册答案