精英家教网 > 初中数学 > 题目详情
如图,在梯形ABCD中,AB∥CD,⊙O为内切圆,E为切点
(1)证明:∠AOD=90°;
(2)若AO=8cm,DO=6cm,求OE的长。
解:(1)证明: ∵AB∥CD, ∴
∵⊙O内切于梯形ABCD, ∴AO平分,有
DO平分,有


(2)∵在Rt△AOD中,AO=8cm,OD=6cm
∴由勾股定理,得cm
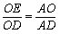
∵E为切点,∴,有  ∴
为公共角, ∴△∽△
 ∴  ∴cm
练习册系列答案
相关习题

科目:初中数学 来源: 题型:

11、如图,在梯形ABCD中,AB∥CD,对角线AC、BD交于点O,则S△AOD
=
S△BOC.(填“>”、“=”或“<”)

查看答案和解析>>

科目:初中数学 来源: 题型:

精英家教网已知:如图,在梯形ABCD中,AD∥BC,AB⊥BC,AD=2,BC=CD=10.
求:梯形ABCD的周长.

查看答案和解析>>

科目:初中数学 来源: 题型:

精英家教网如图,在梯形ABCD中,AD∥BC,AB⊥AD,对角线BD⊥DC.
(1)求证:△ABD∽△DCB;
(2)若BD=7,AD=5,求BC的长.

查看答案和解析>>

科目:初中数学 来源: 题型:

20、如图,在梯形ABCD中,AD∥BC,并且AB=8,AD=3,CD=6,并且∠B+∠C=90°,则梯形面积S梯形ABCD=
38.4

查看答案和解析>>

科目:初中数学 来源: 题型:

精英家教网如图,在梯形ABCD中,AD∥BC,∠BCD=90°,以CD为直径的半圆O切AB于点E,这个梯形的面积为21cm2,周长为20cm,那么半圆O的半径为(  )
A、3cmB、7cmC、3cm或7cmD、2cm

查看答案和解析>>

同步练习册答案