精英家教网 > 初中数学 > 题目详情
如图,四边形ABCD是正方形,点N是CD的中点,M是AD边上不同于点A、D的点,若sin∠ABM=,求证:∠NMB=∠MBC。
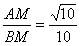
解:如图,分别延长BC、MN相交于点E





∵四边形ABCD是正方形
,且
中,
又∵




练习册系列答案
相关习题

科目:初中数学 来源: 题型:

如图,四边形ABCD的对角线AC与BD互相垂直平分于点O,设AC=2a,BD=2b,请推导这个四边形的性质.(至少3条)
(提示:平面图形的性质通常从它的边、内角、对角线、周长、面积等入手.)

查看答案和解析>>

科目:初中数学 来源: 题型:

如图,四边形ABCD的对角线AC、BD交于点P,过点P作直线交AD于点E,交BC于点F.若PE=PF,且AP+AE=CP+CF.
(1)求证:PA=PC.
(2)若BD=12,AB=15,∠DBA=45°,求四边形ABCD的面积.

查看答案和解析>>

科目:初中数学 来源: 题型:

精英家教网如图,四边形ABCD,AB=AD=2,BC=3,CD=1,∠A=90°,求∠ADC的度数.

查看答案和解析>>

科目:初中数学 来源: 题型:

如图,四边形ABCD为正方形,E是BC的延长线上的一点,且AC=CE,求∠DAE的度数.

查看答案和解析>>

科目:初中数学 来源: 题型:

如图,四边形ABCD是正方形,点E是BC的中点,∠AEF=90°,EF交正方形外角的平分线CF于F.

(I)求证:AE=EF;
(Ⅱ)若将条件中的“点E是BC的中点”改为“E是BC上任意一点”,其余条件不变,则结论AE=EF还成立吗?若成立,请证明;若不成立,请说明理由.

查看答案和解析>>

同步练习册答案