精英家教网 > 初中数学 > 题目详情

x2•x3=( )

A.x5 B.x6 C.x8 D.x9

练习册系列答案
相关习题

科目:初中数学 来源:江苏省靖江市2016届九年级下学期中考复习周练数学试卷 题型:填空题

如图,PA、PB分别与⊙O相切于点A、B,⊙O的切线EF分别交PA、PB于点E、F,切点C在上,若PA长为2,则△PEF的周长是

查看答案和解析>>

科目:初中数学 来源:江苏省2017届九年级下学期第三次模拟考试数学试卷 题型:单选题

下列计算正确的是( )

A. a2+a3=a5 B. (ab2)3= a2b5 C. 2a﹣a=2 D. 2a2×a -1=2a

查看答案和解析>>

科目:初中数学 来源:山东省淄博市2016-2017学年七年级下学期期中考试数学试卷 题型:填空题

89°25′48″=__°.

查看答案和解析>>

科目:初中数学 来源:山东省淄博市2016-2017学年七年级下学期期中考试数学试卷 题型:单选题

下列能平方差公式计算的式子是(  )

A. (a﹣b)(b﹣a) B. (﹣x+1)(x﹣1)

C. (﹣a﹣1)(a+1) D. (﹣x﹣y)(﹣x+y)

查看答案和解析>>

科目:初中数学 来源:山东省淄博市2016-2017学年八年级下学期期中考试数学试卷 题型:解答题

如图,已知,求证:

查看答案和解析>>

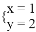
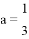
科目:初中数学 来源:山东省淄博市2016-2017学年八年级下学期期中考试数学试卷 题型:填空题

方程ax-y=3的解是则a的值是_______.

查看答案和解析>>

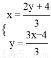
科目:初中数学 来源:江苏省泰兴市2016-2017学年七年级下学期期末考试数学试卷 题型:解答题

解下列方程组或不等式(组):

(1)解方程组

(2)解不等式组,并把解集在数轴上表示出来.

查看答案和解析>>

科目:初中数学 来源:江苏省泰兴市2016-2017学年七年级下学期期末考试数学试卷 题型:单选题

能说明“对于任何实数a,”是假命题的一个反例可以是 ( )

A. B. C. D.

查看答案和解析>>

同步练习册答案