精英家教网 > 初中数学 > 题目详情

实数在数轴上的位置如图所示:

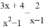
化简: =________。

练习册系列答案
相关习题

科目:初中数学 来源:湖北省武汉市江汉区2016届中考模拟(一)数学试卷 题型:单选题

用乘法公式进行简单的计算的结果是( )

A. B. C. D.

查看答案和解析>>

科目:初中数学 来源:2017年广东省中考数学仿真试卷(一) 题型:填空题

如图,在⊙O中,CD⊥AB于E,若∠BAD=30°,且BE=2,则CD=_____.

查看答案和解析>>

科目:初中数学 来源:安徽省巢湖市2016-2017学年度下期期末统考试卷八年级数学试卷 题型:解答题

已知一次函数y=kx+b的图象经过点(-1, -5),且与正比例函数y= x的图象相交于点(2,a),求:(1)a的值

(2)k,b的值

(3)这两个函数图象与y轴所围成的三角形的面积。

查看答案和解析>>

科目:初中数学 来源:安徽省巢湖市2016-2017学年度下期期末统考试卷八年级数学试卷 题型:填空题

如图,AC是正方形ABCD的对角线,AE平分∠BAC,EF⊥AC交AC于点F,若BE=2,则CF长为_________。

查看答案和解析>>

科目:初中数学 来源:安徽省巢湖市2016-2017学年度下期期末统考试卷八年级数学试卷 题型:单选题

为保护生态环境,陕西省某县响应国家“退耕还林”号召,将某一部分耕地改为林地,改变后,林地面积和耕地面积共有180平方千米,耕地面积是林地面积的25%,为求改变后林地面积和耕地面积各多少平方千米。设改变后耕地面积x平方千米,林地地面积y平方千米,根据题意,列出如下四个方程组,其中正确的是( )

A. B. C. D.

查看答案和解析>>

科目:初中数学 来源:安徽省巢湖市2016-2017学年度下期期末统考试卷八年级数学试卷 题型:单选题

若数据m,2,5,7,1,4,n的平均数为4,则m,n的平均数为( )

A. 7.5 B. 5.5 C. 2.5 D. 4.5

查看答案和解析>>

科目:初中数学 来源:浙江省舟山市2016-2017学年九年级(下)第一次月考数学试卷 题型:单选题

如图,已知顶点为(﹣3,﹣6)的抛物线y=ax2+bx+c经过点(﹣1,﹣4),则下列结论中错误的是(  )

A. b2>4ac

B. ax2+bx+c≥﹣6

C. 若点(﹣2,m),(﹣5,n)在抛物线上,则m>n

D. 关于x的一元二次方程ax2+bx+c=﹣4的两根为﹣5和﹣1

查看答案和解析>>

科目:初中数学 来源:2017年广东省中考数学预测试卷(二) 题型:解答题

先化简,再求值:()÷,选一个你认为合适的整数x代入求值.

查看答案和解析>>

同步练习册答案